Suppr超能文献

使用 Kraken 2 进行快速准确的 16S rRNA 微生物群落分析。

Ultrafast and accurate 16S rRNA microbial community analysis using Kraken 2.

机构信息

Department of Biomedical Engineering, Johns Hopkins University, Baltimore, MD, USA.

Center for Computational Biology, Johns Hopkins University, Baltimore, MD, USA.

出版信息

Microbiome. 2020 Aug 28;8(1):124. doi: 10.1186/s40168-020-00900-2.

Abstract

BACKGROUND

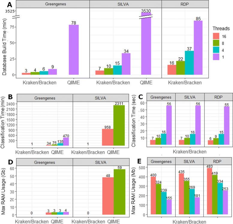
For decades, 16S ribosomal RNA sequencing has been the primary means for identifying the bacterial species present in a sample with unknown composition. One of the most widely used tools for this purpose today is the QIIME (Quantitative Insights Into Microbial Ecology) package. Recent results have shown that the newest release, QIIME 2, has higher accuracy than QIIME, MAPseq, and mothur when classifying bacterial genera from simulated human gut, ocean, and soil metagenomes, although QIIME 2 also proved to be the most computationally expensive. Kraken, first released in 2014, has been shown to provide exceptionally fast and accurate classification for shotgun metagenomics sequencing projects. Bracken, released in 2016, then provided users with the ability to accurately estimate species or genus relative abundances using Kraken classification results. Kraken 2, which matches the accuracy and speed of Kraken 1, now supports 16S rRNA databases, allowing for direct comparisons to QIIME and similar systems.

METHODS

For a comprehensive assessment of each tool, we compare the computational resources and speed of QIIME 2's q2-feature-classifier, Kraken 2, and Bracken in generating the three main 16S rRNA databases: Greengenes, SILVA, and RDP. For an evaluation of accuracy, we evaluated each tool using the same simulated 16S rRNA reads from human gut, ocean, and soil metagenomes that were previously used to compare QIIME, MAPseq, mothur, and QIIME 2. We evaluated accuracy based on the accuracy of the final genera read counts assigned by each tool. Finally, as Kraken 2 is the only tool providing per-read taxonomic assignments, we evaluate the sensitivity and precision of Kraken 2's per-read classifications.

RESULTS

For both the Greengenes and SILVA database, Kraken 2 and Bracken are up to 100 times faster at database generation. For classification, using the same data as previous studies, Kraken 2 and Bracken are up to 300 times faster, use 100x less RAM, and generate results that more accurate at 16S rRNA profiling than QIIME 2's q2-feature-classifier.

CONCLUSION

Kraken 2 and Bracken provide a very fast, efficient, and accurate solution for 16S rRNA metataxonomic data analysis. Video Abstract.

摘要

背景

几十年来,16S 核糖体 RNA 测序一直是识别未知组成样品中细菌物种的主要手段。如今,为此目的最广泛使用的工具之一是 QIIME(微生物生态定量分析)软件包。最近的结果表明,最新版本的 QIIME 2 在对模拟人类肠道、海洋和土壤宏基因组进行细菌属分类时,比 QIIME、MAPseq 和 mothur 具有更高的准确性,尽管 QIIME 2 也被证明是计算成本最高的。2014 年首次发布的 Kraken 已被证明可提供快速准确的分类用于 shotgun 宏基因组测序项目。2016 年发布的 Bracken 然后使用户能够使用 Kraken 分类结果准确估计物种或属的相对丰度。与 Kraken 1 匹配准确性和速度的 Kraken 2 现在支持 16S rRNA 数据库,允许与 QIIME 和类似系统进行直接比较。

方法

为了全面评估每种工具,我们比较了 QIIME 2 的 q2-feature-classifier、Kraken 2 和 Bracken 在生成三个主要 16S rRNA 数据库(Greengenes、SILVA 和 RDP)方面的计算资源和速度。为了评估准确性,我们使用先前用于比较 QIIME、MAPseq、mothur 和 QIIME 2 的相同模拟 16S rRNA 读取来评估每种工具。我们根据每个工具分配的最终属读取计数的准确性来评估准确性。最后,由于 Kraken 2 是唯一提供每读分类的工具,我们评估了 Kraken 2 的每读分类的敏感性和精度。

结果

对于 Greengenes 和 SILVA 数据库,Kraken 2 和 Bracken 的数据库生成速度快 100 倍。对于分类,使用与先前研究相同的数据,Kraken 2 和 Bracken 的速度快 300 倍,使用的 RAM 少 100 倍,并且在 16S rRNA 分析方面生成的结果比 QIIME 2 的 q2-feature-classifier 更准确。

结论

Kraken 2 和 Bracken 为 16S rRNA 元分类数据分析提供了一种非常快速、高效和准确的解决方案。视频摘要。

https://cdn.ncbi.nlm.nih.gov/pmc/blobs/cf53/7455996/f22e6a13c144/40168_2020_900_Fig1_HTML.jpg

文献AI研究员

20分钟写一篇综述,助力文献阅读效率提升50倍。

立即体验

用中文搜PubMed

大模型驱动的PubMed中文搜索引擎

马上搜索

文档翻译

学术文献翻译模型,支持多种主流文档格式。

立即体验