Suppr超能文献

特威欣™ 雾化干粉吸入剂:优于雾化吸入的有效且更具患者友好性的选择。

Colistin dry powder inhalation with the Twincer™: An effective and more patient friendly alternative to nebulization.

机构信息

Department of Paediatric Pulmonology and Pediatric Allergology, Beatrix Childrens' Hospital, University of Groningen, University Medical Center Groningen, Groningen, The Netherlands.

Groningen Research Institute for Asthma and COPD (GRIAC), University of Groningen, University Medical Center Groningen, Groningen, The Netherlands.

出版信息

PLoS One. 2020 Sep 24;15(9):e0239658. doi: 10.1371/journal.pone.0239658. eCollection 2020.

Abstract

BACKGROUND

Nebulization of antimicrobial drugs such as tobramycin and colistin is a cornerstone in the treatment of patients with cystic fibrosis (CF) infected with Pseudomonas aeruginosa. However, nebulization has a high treatment burden. The Twincer™ is a dry powder inhaler specifically developed for the inhalation of antibiotics such as colistin. The aim of this study was to compare patient outcomes and experience with colistin dry powder by the Twincer with nebulization of colistin or tobramycin in adult CF patients in a real-life setting.

METHODS

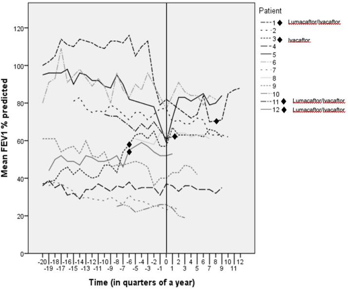
This was a retrospective study from 01-01-2015 until 01-07-2018. Effectiveness was evaluated by comparing FEV1 decline and exacerbation rate during a mean of 4.1 years of nebulization therapy prior to the initiation of the Twincer against the same values during a mean of 1.7 years of treatment with the Twincer.

RESULTS

Twenty-one patients were evaluated, of whom twelve could be included in the effectiveness analysis, with a total of twenty patient years. Of all patients 71.4% preferred therapy with the Twincer over nebulization. Twincer use resulted in high treatment adherence with an average adherence rate of 92.5%. There was no significant difference in annual decline in FEV1%pred prior to and after start changing from nebulization to the use of the Twincer powder inhaler (median decline -1.56 [-5.57-5.31] and 1.35 [-8.45-6.36]) respectively, p = 0.45 (linear mixed effect model)). No significant difference was found in the number of intravenous or combined total intravenous and oral antibiotic courses during Twincer therapy compared to when using nebulization (1.68 and 2.49 courses during Twincer therapy versus 1.51 and 2.94 courses during nebulization, p = 0.88 and p = 0.63).

CONCLUSION

Colistin dry powder inhalation with the Twincer is a more patient friendly alternative to nebulization, and we did not observe significant differences in the clinical outcome, regarding lung function and exacerbation rates.

摘要

背景

妥布霉素和黏菌素等抗菌药物的雾化吸入是囊性纤维化(CF)患者感染铜绿假单胞菌的基础治疗方法之一。然而,雾化吸入治疗的负担很重。Twincer™ 是一种专为吸入黏菌素等抗生素而开发的干粉吸入器。本研究旨在比较在真实环境中,Twincer™ 干粉吸入器吸入黏菌素与雾化吸入黏菌素或妥布霉素在 CF 成年患者中的患者结局和体验。

方法

这是一项回顾性研究,时间范围为 2015 年 1 月 1 日至 2018 年 7 月 1 日。在开始使用 Twincer™ 之前,通过比较平均 4.1 年的雾化治疗期间的 FEV1 下降率和加重率,评估有效性,然后在平均 1.7 年的 Twincer™ 治疗期间比较相同的数值。

结果

共评估了 21 名患者,其中 12 名可纳入有效性分析,总共有 20 名患者年。所有患者中有 71.4%更喜欢使用 Twincer™ 进行治疗,而非雾化治疗。Twincer™ 的使用具有很高的治疗依从性,平均依从率为 92.5%。在从雾化治疗改为使用 Twincer™ 干粉吸入器后,FEV1%pred 年下降率没有显著差异(中位数下降率分别为-1.56 [-5.57-5.31]和-1.35 [-8.45-6.36],p=0.45(线性混合效应模型))。与使用雾化治疗相比,在使用 Twincer™ 治疗期间,静脉内或静脉内和口服联合抗生素疗程的数量没有显著差异(Twincer™ 治疗期间为 1.68 和 2.49 个疗程,雾化治疗期间为 1.51 和 2.94 个疗程,p=0.88 和 p=0.63)。

结论

与雾化吸入相比,使用 Twincer™ 干粉吸入黏菌素是一种更方便患者的替代方法,我们没有观察到临床结局(肺功能和加重率)的显著差异。

https://cdn.ncbi.nlm.nih.gov/pmc/blobs/f27d/7514010/bd7d6c715d07/pone.0239658.g001.jpg

文献AI研究员

20分钟写一篇综述,助力文献阅读效率提升50倍。

立即体验

用中文搜PubMed

大模型驱动的PubMed中文搜索引擎

马上搜索

文档翻译

学术文献翻译模型,支持多种主流文档格式。

立即体验