Suppr超能文献

具有多个手性中心的卟啉在有机/水介质中的自组装:糖和甾体卟啉缀合物的情况。

The Self-Aggregation of Porphyrins with Multiple Chiral Centers in Organic/Aqueous Media: The Case of Sugar- and Steroid-Porphyrin Conjugates.

机构信息

Dipartimento di Scienze e Tecnologie Chimiche, Università di Roma Tor Vergata, via della Ricerca Scientifica, 1, 00133 Rome, Italy.

Dipartimento di Chimica, Università di Roma Sapienza, P.le A. Moro 5, 00185 Rome, Italy.

出版信息

Molecules. 2020 Oct 4;25(19):4544. doi: 10.3390/molecules25194544.

Abstract

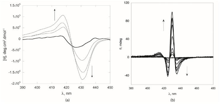
An overview of the solvent-driven aggregation of a series of chiral porphyrin derivatives studied by optical methods (UV/Vis, fluorescence, CD and RLS spectroscopies) is herein reported. The investigated porphyrins are characterized by the presence in the meso-positions of glycol-, steroidal- and glucosteroidal moieties, conferring amphiphilicity and solubility in aqueous media to the primarily hydrophobic porphyrin platform. Aggregation of the macrocycles is driven by a change in bulk solvent composition, forming architectures with supramolecular chirality, steered by the stereogenic centers on the porphyrin peripheral positions. The aggregation behavior and chiroptical properties of the final aggregated species strongly depend on the number and stereogenicity of the ancillary groups that dictate the mutual spatial arrangement of the porphyrin chromophores and their further organization in larger structures, usually detectable by different microscopies, such as AFM and SEM. Kinetic studies are fundamental to understand the aggregation mechanism, which is frequently found to be dependent on the substrate concentration. Additionally, Molecular Mechanics calculations can give insights into the intimate nature of the driving forces governing the self-assembly process. The critical use of these combined methods can shed light on the overall self-assembly process of chirally-functionalized macrocycles, with important implications on the development of chiral porphyrin-based materials.

摘要

本文综述了一系列手性卟啉衍生物在溶剂中通过光学方法(紫外/可见、荧光、圆二色和共振瑞利散射光谱)研究的溶剂诱导聚集。所研究的卟啉在中位上具有二醇、甾体和葡萄糖甾基部分,赋予了原本疏水性卟啉平台在水介质中的两亲性和溶解性。大环的聚集是由主体溶剂组成的变化驱动的,形成具有超分子手性的结构,由卟啉外围位置的手性中心引导。最终聚集态的聚集行为和圆二色性质强烈依赖于辅助基团的数量和手性,辅助基团决定了卟啉发色团的相互空间排列及其在更大结构中的进一步组织,通常可以通过不同的显微镜(如 AFM 和 SEM)检测到。动力学研究对于理解聚集机制至关重要,聚集机制通常发现取决于底物浓度。此外,分子力学计算可以深入了解控制自组装过程的驱动力的本质。这些组合方法的关键应用可以阐明手性功能化大环的整体自组装过程,这对手性卟啉基材料的发展具有重要意义。

https://cdn.ncbi.nlm.nih.gov/pmc/blobs/8fcc/7583780/a78178fc4177/molecules-25-04544-g001.jpg

文献AI研究员

20分钟写一篇综述,助力文献阅读效率提升50倍。

立即体验

用中文搜PubMed

大模型驱动的PubMed中文搜索引擎

马上搜索

文档翻译

学术文献翻译模型,支持多种主流文档格式。

立即体验