Suppr超能文献

睡眠惯性的听觉对策:在生态环境中探索旋律和节奏的影响

Auditory Countermeasures for Sleep Inertia: Exploring the Effect of Melody and Rhythm in an Ecological Context.

作者信息

McFarlane Stuart J, Garcia Jair E, Verhagen Darrin S, Dyer Adrian G

机构信息

School of Media and Communication, RMIT University, Melbourne 3001, Australia;

School of Design, RMIT University, Melbourne 3001, Australia;

出版信息

Clocks Sleep. 2020 May 29;2(2):208-224. doi: 10.3390/clockssleep2020017. eCollection 2020 Jun.

Abstract

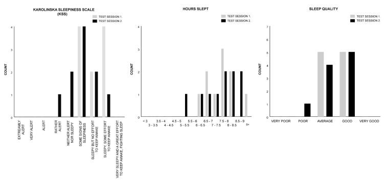
Sleep inertia is a decline in cognition one may experience upon and following awakening. A recent study revealed that an alarm sound perceived as melodic by participants displayed a significant relationship to reports of reductions in perceived sleep inertia. This current research builds on these findings by testing the effect melody and rhythm exhibit on sleep inertia for subjects awakening in their habitual environments. Two test Groups (A and B; = 10 each) completed an online psychomotor experiment and questionnaire in two separate test sessions immediately following awakening from nocturnal sleep. Both groups responded to a control stimulus in the first session, while in the second session, Group A experienced a melodic treatment, and Group B a rhythmic treatment. The results show that the melodic treatment significantly decreased attentional lapses, false starts, and had a significantly improved psychomotor vigilance test (PVT) performance score than the control. There was no significant result for reaction time or response speed. Additionally, no significant difference was observed for all PVT metrics between the control-rhythmic conditions. The results from this analysis support melodies' potential to counteract symptoms of sleep inertia by the observed increase in participant vigilance following waking from nocturnal sleep.

摘要

睡眠惰性是指人们在醒来时及醒来后可能经历的认知能力下降。最近的一项研究表明,参与者认为旋律优美的闹钟声音与他们所报告的睡眠惰性感知降低之间存在显著关联。当前的这项研究基于这些发现,通过测试旋律和节奏对在其习惯环境中醒来的受试者的睡眠惰性的影响来展开。两个测试组(A组和B组,每组n = 10)在夜间睡眠醒来后立即在两个单独的测试环节中完成了一项在线心理运动实验和问卷调查。两组在第一个环节中对控制刺激做出反应,而在第二个环节中,A组接受旋律处理,B组接受节奏处理。结果表明,与对照组相比,旋律处理显著减少了注意力不集中、错误启动,并显著提高了心理运动警觉性测试(PVT)的表现得分。反应时间或反应速度没有显著结果。此外,在控制 - 节奏条件之间的所有PVT指标上均未观察到显著差异。该分析结果支持了旋律通过观察到的夜间睡眠醒来后参与者警觉性的提高来抵消睡眠惰性症状的潜力。

https://cdn.ncbi.nlm.nih.gov/pmc/blobs/c9b8/7445849/7598cdda4c4c/clockssleep-02-00017-g001.jpg

文献AI研究员

20分钟写一篇综述,助力文献阅读效率提升50倍。

立即体验

用中文搜PubMed

大模型驱动的PubMed中文搜索引擎

马上搜索

文档翻译

学术文献翻译模型,支持多种主流文档格式。

立即体验