Suppr超能文献

应用分析框架对环境数据进行多元中介分析。

Application of an analytical framework for multivariate mediation analysis of environmental data.

机构信息

Department of Biostatistics, University of Michigan School of Public Health, Ann Arbor, MI, US.

Epidemiology Branch, National Institute of Environmental Health Sciences, Research Triangle Park, NC, Chapel Hill, US.

出版信息

Nat Commun. 2020 Nov 6;11(1):5624. doi: 10.1038/s41467-020-19335-2.

Abstract

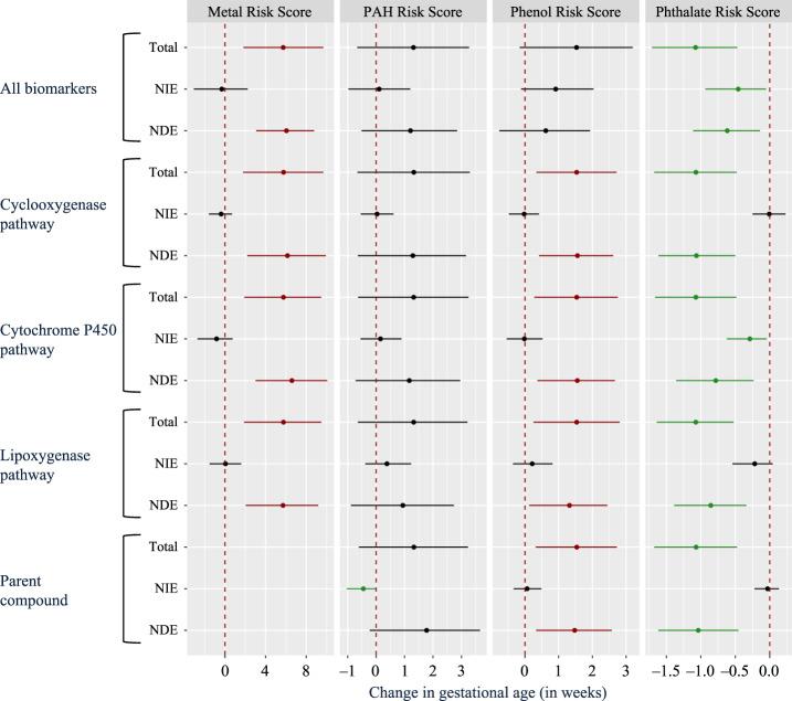
Diverse toxicological mechanisms may mediate the impact of environmental toxicants (phthalates, phenols, polycyclic aromatic hydrocarbons, and metals) on pregnancy outcomes. In this study, we introduce an analytical framework for multivariate mediation analysis to identify mediation pathways (q = 61 mediators) in the relationship between environmental toxicants (p = 38 analytes) and gestational age at delivery. Our analytical framework includes: (1) conducting pairwise mediation for unique exposure-mediator combinations, (2) exposure dimension reduction by estimating environmental risk scores, and (3) multivariate mediator analysis using either Bayesian shrinkage mediation analysis, population value decomposition, or mediation pathway penalization. Dimension reduction demonstrates that a one-unit increase in phthalate risk score is associated with a total effect of 1.07 lower gestational age (in weeks) at delivery (95% confidence interval: 0.48-1.67) and eicosanoids from the cytochrome p450 pathway mediated 26% of this effect (95% confidence interval: 4-63%). Eicosanoid products derived from the cytochrome p450 pathway may be important mediators of phthalate toxicity.

摘要

多种毒理学机制可能介导环境毒物(邻苯二甲酸酯、酚类、多环芳烃和金属)对妊娠结局的影响。在这项研究中,我们引入了一个用于多元中介分析的分析框架,以确定环境毒物(p=38 种分析物)与分娩时的胎龄之间关系中的中介途径(q=61 个中介物)。我们的分析框架包括:(1)对独特的暴露-中介组合进行成对中介分析,(2)通过估计环境风险评分来进行暴露维度缩减,以及(3)使用贝叶斯收缩中介分析、总体价值分解或中介途径惩罚进行多变量中介分析。维度缩减表明,邻苯二甲酸酯风险评分增加一个单位与分娩时胎龄降低 1.07 周(95%置信区间:0.48-1.67)有关,细胞色素 p450 途径中的类二十烷酸介导了这一效应的 26%(95%置信区间:4-63%)。细胞色素 p450 途径衍生的类二十烷酸产物可能是邻苯二甲酸酯毒性的重要中介物。

https://cdn.ncbi.nlm.nih.gov/pmc/blobs/61b8/7648785/deb11c75876c/41467_2020_19335_Fig1_HTML.jpg

文献AI研究员

20分钟写一篇综述,助力文献阅读效率提升50倍。

立即体验

用中文搜PubMed

大模型驱动的PubMed中文搜索引擎

马上搜索

文档翻译

学术文献翻译模型,支持多种主流文档格式。

立即体验