Suppr超能文献

初诊时患有乳腺癌骨转移的女性,根据肿瘤亚型的预后因素和生存情况:一项基于 SEER 的研究。

Prognostic factors and survival according to tumour subtype in women presenting with breast cancer bone metastases at initial diagnosis: a SEER-based study.

机构信息

Department of Medical Affairs, Shanghai Public Health Clinical Center, Fudan University, Shanghai, China.

Department of Health Statistics, School of Public Health, China Medical University, Shenyang, China.

出版信息

BMC Cancer. 2020 Nov 13;20(1):1102. doi: 10.1186/s12885-020-07593-8.

Abstract

BACKGROUND

Tumour subtype has a significant effect on bone metastasis in breast cancer, but population-based estimates of the prognosis of patients with bone metastases at breast cancer diagnosis are lacking. The aim of this study was to analyse the influence of tumour subtype and other factors on the prognosis and survival of patients with bone metastases of breast cancer.

METHODS

Using the Surveillance, Epidemiology, and End Results (SEER) Program data from 2012 to 2016, a retrospective cohort study was conducted to investigate stage IV breast cancer patients with bone metastases. Stage IV patient characteristics according to subtype were compared using chi-square tests. Overall survival (OS) and prognostic factors were compared using the Kaplan-Meier method and the Cox proportional hazards model, respectively.

RESULTS

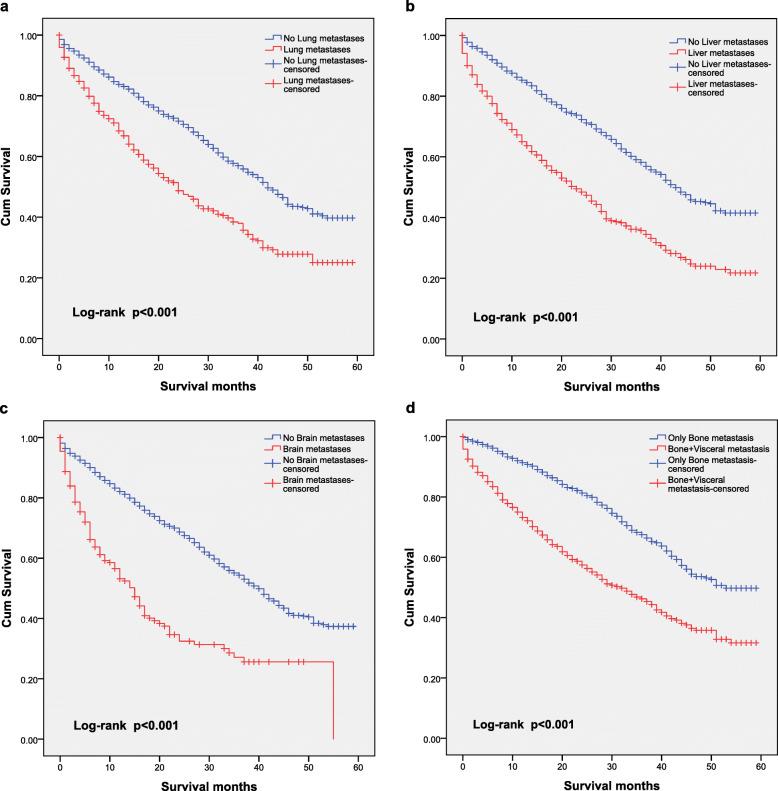
A total of 3384 stage IV patients were included in this study; 63.42% were HR+/HER2-, 19.86% were HR+/HER2+, 9.34% were HR-/HER2-, and 7.39% were HR-/HER2+. The median OS for the whole population was 38 months, and 33.9% of the patients were alive at 5 years. The median OS and five-year survival rate were significantly different among stage IV breast cancer patients with different molecular subtypes (p < 0.05). Multivariate Cox regression analysis showed that age of 55-59 (HR = 1.270), black race (HR = 1.317), grade III or IV (HR = 1.960), HR-/HER2- (HR = 2.808), lung metastases (HR = 1.378), liver metastases (HR = 2.085), and brain metastases (HR = 1.903) were independent risk factors for prognosis; married status (HR = 0.819), HR+/HER2+ (HR = 0.631), HR-/HER2+ (HR = 0.716), insurance (HR = 0.587) and surgery (HR = 0.504) were independent protection factors of prognosis. There was an interaction between the HR+/HER2+ subtype and other metastases (except bone metastases, HR = 0.694, 95% CI: 0.485-0.992), but the interaction between race and subtype did not reach significance for prognosis.

CONCLUSIONS

There were substantial differences in OS according to tumour subtype. In addition to tumour subtype, other independent predictors of OS were age at diagnosis, race, marital status, insurance, grade, surgery and visceral metastases. There was an interaction between the HR+/HER2+ subtype and other metastases (except bone metastases) for prognosis. Tumour subtype, as a significant prognostic factor, warrants further investigation.

摘要

背景

肿瘤亚型对乳腺癌骨转移有显著影响,但缺乏乳腺癌诊断时骨转移患者预后的基于人群的估计。本研究旨在分析肿瘤亚型和其他因素对乳腺癌骨转移患者预后和生存的影响。

方法

使用 2012 年至 2016 年的监测、流行病学和最终结果(SEER)计划数据,进行了一项回顾性队列研究,以调查患有骨转移的 IV 期乳腺癌患者。使用卡方检验比较了根据亚型的 IV 期患者特征。使用 Kaplan-Meier 方法和 Cox 比例风险模型分别比较总生存期(OS)和预后因素。

结果

本研究共纳入 3384 例 IV 期患者;63.42%为 HR+/HER2-,19.86%为 HR+/HER2+,9.34%为 HR-/HER2-,7.39%为 HR-/HER2+。全人群的中位 OS 为 38 个月,5 年生存率为 33.9%。不同分子亚型的 IV 期乳腺癌患者的中位 OS 和 5 年生存率差异有统计学意义(p<0.05)。多变量 Cox 回归分析显示,年龄 55-59 岁(HR=1.270)、黑种人(HR=1.317)、分级 III 或 IV(HR=1.960)、HR-/HER2-(HR=2.808)、肺转移(HR=1.378)、肝转移(HR=2.085)和脑转移(HR=1.903)是预后的独立危险因素;已婚状态(HR=0.819)、HR+/HER2+(HR=0.631)、HR-/HER2+(HR=0.716)、保险(HR=0.587)和手术(HR=0.504)是预后的独立保护因素。HR+/HER2+亚型与其他转移(除骨转移外,HR=0.694,95%CI:0.485-0.992)之间存在交互作用,但种族和亚型之间的交互作用对预后没有达到统计学意义。

结论

根据肿瘤亚型,OS 存在显著差异。除肿瘤亚型外,其他影响 OS 的独立预测因素还包括诊断时的年龄、种族、婚姻状况、保险、分级、手术和内脏转移。HR+/HER2+亚型与其他转移(除骨转移外)之间存在预后交互作用。肿瘤亚型作为一个重要的预后因素,值得进一步研究。

https://cdn.ncbi.nlm.nih.gov/pmc/blobs/5fc3/7666499/53da6b3c66be/12885_2020_7593_Fig1_HTML.jpg

文献AI研究员

20分钟写一篇综述,助力文献阅读效率提升50倍。

立即体验

用中文搜PubMed

大模型驱动的PubMed中文搜索引擎

马上搜索

文档翻译

学术文献翻译模型,支持多种主流文档格式。

立即体验