Suppr超能文献

用于检测新型冠状病毒2抗体的市售快速血清学检测方法的性能

Performance of Commercially Available Rapid Serological Assays for the Detection of SARS-CoV-2 Antibodies.

作者信息

Hashem Anwar M, Alhabbab Rowa Y, Algaissi Abdullah, Alfaleh Mohamed A, Hala Sharif, Abujamel Turki S, ElAssouli M-Zaki, Al-Somali Afrah A, Alofi Fadwa S, Khogeer Asim A, Alkayyal Almohanad A, Mahmoud Ahmad Bakur, Almontashiri Naif A M, Pain Arnab

机构信息

Vaccines and Immunotherapy Unit, King Fahd Medical Research Center, King Abdulaziz University, P.O. Box 80205, Jeddah 21859, Saudi Arabia.

Department of Medical Microbiology and Parasitology, Faculty of Medicine, King Abdulaziz University, P.O. Box 80205, Jeddah 21859, Saudi Arabia.

出版信息

Pathogens. 2020 Dec 19;9(12):1067. doi: 10.3390/pathogens9121067.

Abstract

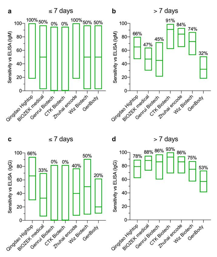
The coronavirus disease 2019 (COVID-19) pandemic, caused by the severe acute respiratory syndrome coronavirus 2 (SARS-CoV-2), continues to spread globally. Although several rapid commercial serological assays have been developed, little is known about their performance and accuracy in detecting SARS-CoV-2-specific antibodies in COVID-19 patient samples. Here, we have evaluated the performance of seven commercially available rapid lateral flow immunoassays (LFIA) obtained from different manufacturers, and compared them to in-house developed and validated ELISA assays for the detection of SARS-CoV-2-specific IgM and IgG antibodies in RT-PCR-confirmed COVID-19 patients. While all evaluated LFIA assays showed high specificity, our data showed a significant variation in sensitivity of these assays, which ranged from 0% to 54% for samples collected early during infection (3-7 days post symptoms onset) and from 54% to 88% for samples collected at later time points during infection (8-27 days post symptoms onset). Therefore, we recommend prior evaluation and validation of these assays before being routinely used to detect IgM and IgG in COVID-19 patients. Moreover, our findings suggest the use of LFIA assays in combination with other standard methods, and not as an alternative.

摘要

由严重急性呼吸综合征冠状病毒2(SARS-CoV-2)引起的2019冠状病毒病(COVID-19)大流行仍在全球蔓延。尽管已经开发了几种快速商用血清学检测方法,但对于它们在检测COVID-19患者样本中SARS-CoV-2特异性抗体方面的性能和准确性知之甚少。在此,我们评估了从不同制造商获得的七种商用快速侧向流动免疫分析(LFIA)的性能,并将它们与内部开发和验证的酶联免疫吸附测定(ELISA)方法进行比较,以检测经逆转录聚合酶链反应(RT-PCR)确诊的COVID-19患者中的SARS-CoV-2特异性IgM和IgG抗体。虽然所有评估的LFIA检测方法都显示出高特异性,但我们的数据显示这些检测方法的灵敏度存在显著差异,感染早期(症状出现后3 - 7天)采集的样本灵敏度范围为0%至54%,感染后期(症状出现后8 - 27天)采集的样本灵敏度范围为54%至88%。因此,我们建议在常规用于检测COVID-19患者的IgM和IgG之前,先对这些检测方法进行评估和验证。此外,我们的研究结果表明应将LFIA检测方法与其他标准方法结合使用,而不是作为替代方法。

https://cdn.ncbi.nlm.nih.gov/pmc/blobs/a4c5/7767212/c40d78a0106e/pathogens-09-01067-g001.jpg

文献AI研究员

20分钟写一篇综述,助力文献阅读效率提升50倍。

立即体验

用中文搜PubMed

大模型驱动的PubMed中文搜索引擎

马上搜索

文档翻译

学术文献翻译模型,支持多种主流文档格式。

立即体验