Suppr超能文献

双酚桥联芳族环状磷腈的合成、光学及结构性质

Synthesis, optical, and structural properties of bisphenol-bridged aromatic cyclic phosphazenes.

作者信息

ÇoŞut Bünyemin, TopaloĞlu Aksoy Burcu, TÜmay Süreyya Oğuz, Şenocak Ahmet, YeŞİlot Serkan

机构信息

Department of Chemistry, Faculty of Science, Gebze Technical University, Gebze, Kocaeli Turkey.

出版信息

Turk J Chem. 2020 Feb 11;44(1):48-63. doi: 10.3906/kim-1907-73. eCollection 2020.

Abstract

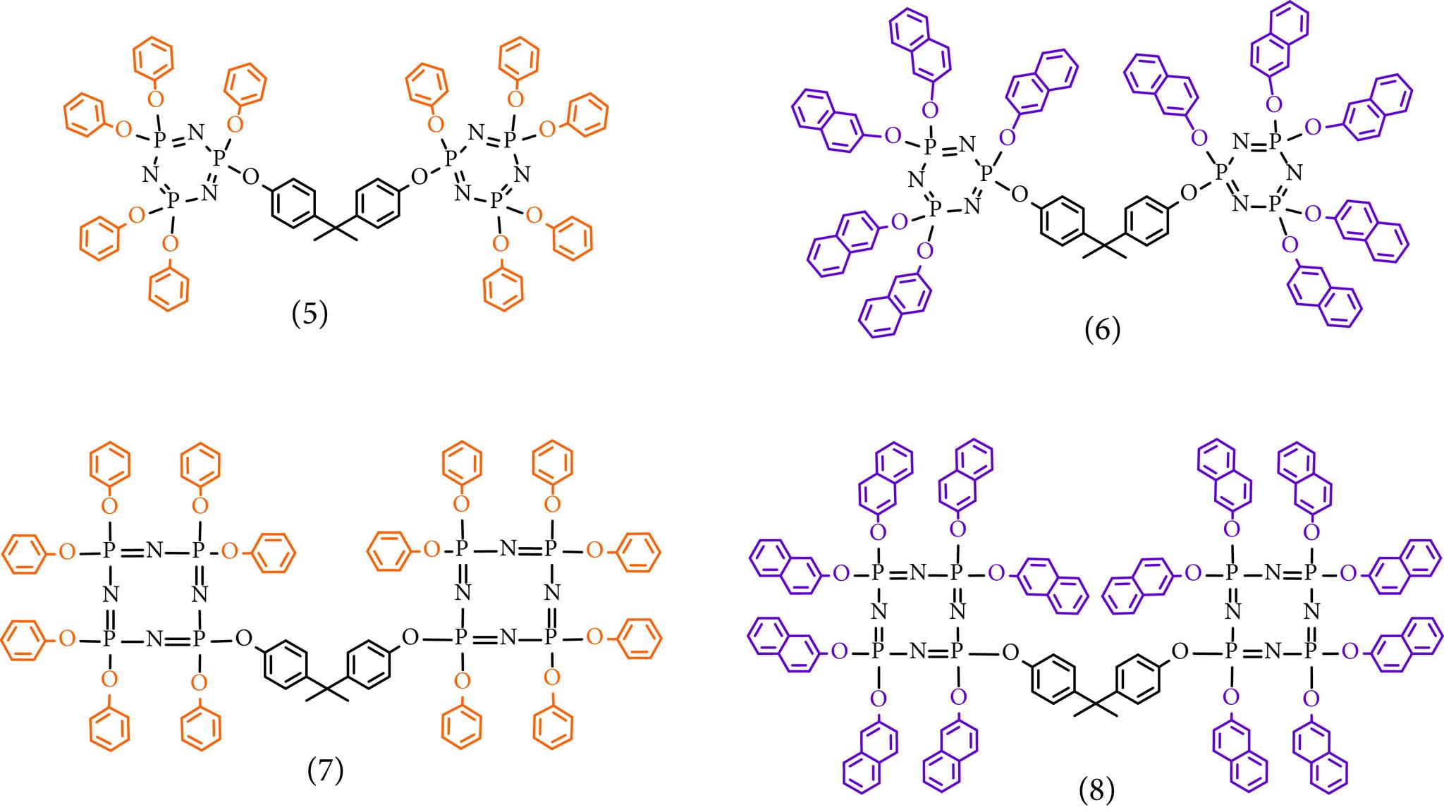
Phenoxy- and naphthoxy-substituted bisphenol-bridged cyclic phosphazenes were synthesized in 2 steps and their thermal, photophysical, and electrochemical properties were investigated. The structures of the cyclic phosphazene compounds were determined by ESI-MS mass spectrometry and H, C, and P NMR spectroscopies. The photophysical studies of phenoxy- and naphthoxy-substituted bridged cyclophosphazenes were investigated by means of absorption and fluorescence spectroscopies in different solvents. Thermal and electrochemical properties of the target compounds were also studied. Furthermore, the excimer emissions through intramolecular interactions in solution and in solid state were investigated by fluorescence spectroscopy and the theoretical calculations were performed in detail using DFT.

摘要

通过两步合成了苯氧基和萘氧基取代的双酚桥连环状磷腈,并对其热、光物理和电化学性质进行了研究。通过电喷雾电离质谱(ESI-MS)以及氢、碳和磷核磁共振光谱(NMR)确定了环状磷腈化合物的结构。利用吸收光谱和荧光光谱研究了苯氧基和萘氧基取代的桥连环磷腈在不同溶剂中的光物理性质。还研究了目标化合物的热性质和电化学性质。此外,通过荧光光谱研究了溶液和固态中分子内相互作用产生的准分子发射,并使用密度泛函理论(DFT)进行了详细的理论计算。

https://cdn.ncbi.nlm.nih.gov/pmc/blobs/a902/7751810/a36abbd4a1c6/turkjchem-44-48-fig001.jpg

文献AI研究员

20分钟写一篇综述,助力文献阅读效率提升50倍。

立即体验

用中文搜PubMed

大模型驱动的PubMed中文搜索引擎

马上搜索

文档翻译

学术文献翻译模型,支持多种主流文档格式。

立即体验