Suppr超能文献

基于液相色谱-质谱联用技术的血清生物标志物的全代谢组学鉴定:区分肝细胞癌与慢性乙型肝炎和肝硬化

LC/MS-Based Global Metabolomic Identification of Serum Biomarkers Differentiating Hepatocellular Carcinoma from Chronic Hepatitis B and Liver Cirrhosis.

作者信息

Pan Hong Y, Wu Qing Q, Yin Qiao Q, Dai Yi N, Huang Yi C, Zheng Wei, Hui Tian C, Chen Mei J, Wang Ming S, Zhang Jia J, Huang Hai J, Tong Yong X

机构信息

Department of Infectious Diseases, Zhejiang Provincial People's Hospital, People's Hospital of Hangzhou Medical College, No. 158 Shangtang Road, Hangzhou, Zhejiang 310014, China.

The Second Clinical Medical College, Zhejiang Chinese Medical University, No. 548 Binwen Road, Hangzhou, Zhejiang 310053, China.

出版信息

ACS Omega. 2021 Jan 4;6(2):1160-1170. doi: 10.1021/acsomega.0c04259. eCollection 2021 Jan 19.

Abstract

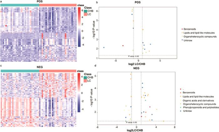
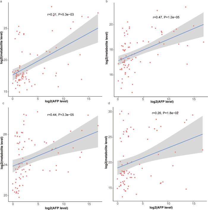
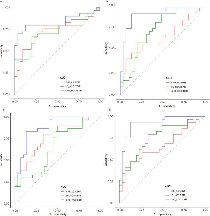
Chronic hepatitis B virus (CHB) infection is one of the primary risk factors associated with the development of hepatocellular carcinoma (HCC). Despite having been extensively studied, diagnosing early-stage HCC remains challenging, and diagnosed patients have a poor (3-5%) survival rate. Identifying new approaches to detect changes in the serum metabolic profiles of patients with CHB and liver cirrhosis (LC) may provide a valuable approach to better detect HCC at an early stage when it is still amenable to treatment, thereby improving patient prognosis and survival. In the present study, we, therefore, employed a liquid chromatography-mass spectrometry (LC-MS)-based approach to evaluate the serum metabolic profiles of 30 CHB patients, 29 LC patients, and 30 HCC patients. We then employed appropriate statistical methods to identify those metabolites that were best able to distinguish HCC cases from LC and CHB controls. A mass-based database was then used to putatively identify these metabolites. We then confirmed the identities of a subset of these metabolites through comparisons with the MS/MS fragmentation patterns and retention times of reference standards. The serum samples were then reanalyzed to quantify the levels of these selected metabolites and of other metabolites that have previously been identified as potential HCC biomarkers. Through this approach, we observed clear differences in the metabolite profiles of the CHB, LC, and HCC patient groups in both positive- and negative-ion modes. We found that the levels of taurodeoxy cholic acid (TCA) and 1,2-diacyl-3-β-d-galactosyl--glycerol rose with the progression from CHB to LC to HCC, whereas levels of 5-hydroxy-6,8,11,14,17-eicosapentaenoic acid, and glycyrrhizic acid were gradually reduced with liver disease progression in these groups. The ROC analysis showed that taurodeoxy cholic acid (TCA), 1,2-diacyl-3-β-d-galactosyl--glycerol, 5-hydroxy-6,8,11,14,17-eicosapentaenoic acid, and glycyrrhizic acid had a diagnosis performance with liver disease progression. These four metabolites have a significant correlation with alpha fetal protein (AFP) level and age. Our results highlight novel metabolic biomarkers that have the potential to be used for differentiating between CHB, LC, and HCC patients, thereby facilitating the identification and treatment of patients with early-stage HCC.

摘要

慢性乙型肝炎病毒(CHB)感染是与肝细胞癌(HCC)发生相关的主要危险因素之一。尽管已经进行了广泛研究,但早期HCC的诊断仍然具有挑战性,且确诊患者的生存率较低(3%-5%)。确定检测CHB和肝硬化(LC)患者血清代谢谱变化的新方法,可能为在早期HCC仍可治疗时更好地进行检测提供有价值的途径,从而改善患者的预后和生存率。因此,在本研究中,我们采用基于液相色谱-质谱联用(LC-MS)的方法来评估30例CHB患者、29例LC患者和30例HCC患者的血清代谢谱。然后,我们使用适当的统计方法来识别那些最能将HCC病例与LC和CHB对照区分开来的代谢物。接着使用基于质量的数据库对这些代谢物进行推定鉴定。然后,通过与参考标准品的MS/MS碎片模式和保留时间进行比较,确认了这些代谢物中一部分的身份。随后对血清样本进行重新分析,以量化这些选定代谢物以及其他先前已被确定为潜在HCC生物标志物的代谢物的水平。通过这种方法,我们在正离子和负离子模式下均观察到CHB、LC和HCC患者组代谢物谱存在明显差异。我们发现,随着病情从CHB进展到LC再到HCC,牛磺脱氧胆酸(TCA)和1,2-二酰基-3-β-D-半乳糖基甘油的水平升高,而在这些组中,5-羟基-6,8,11,14,17-二十碳五烯酸和甘草酸的水平随着肝病进展逐渐降低。ROC分析表明,牛磺脱氧胆酸(TCA)、1,2-二酰基-3-β-D-半乳糖基甘油、5-羟基-6,8,11,14,17-二十碳五烯酸和甘草酸具有随肝病进展的诊断性能。这四种代谢物与甲胎蛋白(AFP)水平和年龄具有显著相关性。我们的结果突出了具有区分CHB、LC和HCC患者潜力的新型代谢生物标志物,从而有助于早期HCC患者的识别和治疗。

https://cdn.ncbi.nlm.nih.gov/pmc/blobs/eecf/7818305/a27aacae38da/ao0c04259_0002.jpg

文献AI研究员

20分钟写一篇综述,助力文献阅读效率提升50倍。

立即体验

用中文搜PubMed

大模型驱动的PubMed中文搜索引擎

马上搜索

文档翻译

学术文献翻译模型,支持多种主流文档格式。

立即体验