Suppr超能文献

使用对上肢的交互式节律性刺激的步态辅助可穿戴机器人。

Gait-Assist Wearable Robot Using Interactive Rhythmic Stimulation to the Upper Limbs.

作者信息

Yap Robin Miao Sin, Ogawa Ken-Ichiro, Hirobe Yuki, Nagashima Terumasa, Seki Masatoshi, Nakayama Masayuki, Ichiryu Ken, Miyake Yoshihiro

机构信息

Department of Computational Intelligence and Systems Science, Tokyo Institute of Technology, Yokohama, Japan.

Department of Computer Science, Tokyo Institute of Technology, Yokohama, Japan.

出版信息

Front Robot AI. 2019 Apr 24;6:25. doi: 10.3389/frobt.2019.00025. eCollection 2019.

Abstract

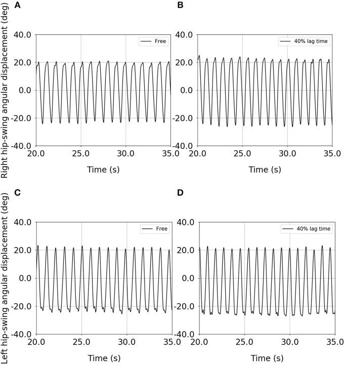
Many power-assist wearable exoskeletons have been developed to provide walking support and gait rehabilitation for elderly subjects and gait-disorder patients. Most designers have focused on a direct power-assist to the wearer's lower limbs. However, gait is a coordinated rhythmic movement of four limbs controlled intrinsically by central pattern generators, with the upper limbs playing an important role in walking. Maintaining a normal gait can become difficult as a person ages, because of decreases in limb coordination, stride length, and gait speed. It is known that coordination mechanisms can be governed by the principle of mutual entrainment, in which synchronization develops through the interaction between nonlinear phase oscillators in biological systems. This principle led us to hypothesize that interactive rhythmic stimulation to upper-limb movements might compensate for the age-related decline in coordination, thereby improving the gait in the elderly. To investigate this hypothesis, we developed a gait-assist wearable exoskeleton that employs interactive rhythmic stimulation to the upper limbs. In particular, we investigated the effects on spatial (i.e., hip-swing amplitude) and temporal (i.e., hip-swing period) gait parameters by conducting walking experiments with 12 healthy elderly subjects under one control condition and five upper-limb-assist conditions, where the output motor torque was applied at five different upper-limb swing positions. The results showed a statistically significant increase in the mean hip-swing amplitude, with a mean increment of about 7% between the control and upper-limb-assist conditions. They also showed a statistically significant decrease in the mean hip-swing period, with a mean decrement of about 2.3% between the control and one of the upper-limb-assist conditions. Although the increase in the hip-swing amplitude and the decrease in the hip-swing period were both small, the results indicate the possibility that interactive rhythmic stimulation to the upper limbs might have a positive effect on the gait of the elderly.

摘要

许多助力可穿戴外骨骼已经被研发出来,用于为老年人和步态障碍患者提供行走支持和步态康复。大多数设计者都专注于直接为穿戴者的下肢提供助力。然而,步态是由中枢模式发生器内在控制的四肢协调的节律性运动,上肢在行走中起着重要作用。随着年龄的增长,由于肢体协调性、步幅和步态速度的下降,保持正常步态会变得困难。众所周知,协调机制可以由相互夹带原理来控制,在这种原理中,同步通过生物系统中非线性相位振荡器之间的相互作用而发展。这一原理使我们推测,对上肢运动进行交互式节律性刺激可能会弥补与年龄相关的协调性下降,从而改善老年人的步态。为了研究这一假设,我们开发了一种步态辅助可穿戴外骨骼,该外骨骼对上肢采用交互式节律性刺激。具体而言,我们通过在一种对照条件和五种上肢辅助条件下对12名健康老年人进行行走实验,研究了对空间(即髋关节摆动幅度)和时间(即髋关节摆动周期)步态参数的影响,其中输出电机扭矩在五个不同的上肢摆动位置施加。结果显示,平均髋关节摆动幅度有统计学意义的增加,在对照条件和上肢辅助条件之间平均增加约7%。结果还显示,平均髋关节摆动周期有统计学意义的下降,在对照条件和其中一种上肢辅助条件之间平均下降约2.3%。虽然髋关节摆动幅度的增加和髋关节摆动周期的下降都很小,但结果表明,对上肢进行交互式节律性刺激可能对老年人的步态有积极影响。

https://cdn.ncbi.nlm.nih.gov/pmc/blobs/1860/7805921/979664c6a4fb/frobt-06-00025-g0001.jpg

文献AI研究员

20分钟写一篇综述,助力文献阅读效率提升50倍。

立即体验

用中文搜PubMed

大模型驱动的PubMed中文搜索引擎

马上搜索

文档翻译

学术文献翻译模型,支持多种主流文档格式。

立即体验