Suppr超能文献

饮食质量评分与各年龄段成年人虚弱和死亡风险的关系。

Relationship between diet quality scores and the risk of frailty and mortality in adults across a wide age spectrum.

机构信息

Chakri Naruebodindra Medical Institute, Faculty of Medicine Ramathibodi Hospital, Mahidol University, Samut Prakan, Thailand.

Division of Geriatric Medicine, Dalhousie University & Nova Scotia Health, Halifax, Nova Scotia, Canada.

出版信息

BMC Med. 2021 Mar 16;19(1):64. doi: 10.1186/s12916-021-01918-5.

Abstract

BACKGROUND

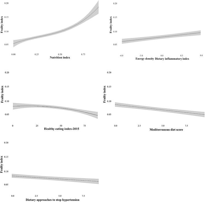
Beyond intakes of total energy and individual nutrient, eating patterns may influence health, and thereby the risk of adverse outcomes. How different diet measures relate to frailty-a general measure of increased vulnerability to unfavorable health outcomes-and mortality risk, and how this might vary across the life course, is not known. We investigated the associations of five dietary indices (Nutrition Index (NI), the energy-density Dietary Inflammatory Index (E-DII™), Healthy Eating Index-2015 (HEI-2015), Mediterranean Diet Score (MDS), and Dietary Approaches to Stop Hypertension (DASH)) with frailty and mortality.

METHODS

We included 15,249 participants aged ≥ 20 years from the 2007-2012 cohorts of the National Health and Nutrition Examination Survey (NHANES). The NI combined 31 nutrition-related deficits. The E-DII is a literature-derived dietary index associated with inflammation. The HEI-2015 assesses adherence to the Dietary Guidelines of Americans. The MDS represents adherence to the traditional Mediterranean diet. DASH combines macronutrients and micronutrients to prevent hypertension. Frailty was evaluated using a 36-item frailty index. Mortality status was ascertained up to December 31, 2015.

RESULTS

Participants' mean age was 47.2 ± 16.7 years and 51.7% were women. After adjusting for age, sex, race, educational level, marital and employment status, smoking, BMI, and study cohort, higher NI and E-DII scores and lower HEI-2015, MDS, and DASH scores were individually significantly associated with frailty. All dietary scores were significantly associated with 8-year mortality risk after adjusting for basic covariates and frailty: NI (hazard ratio per 0.1 point, 1.15, 95%CI 1.10-1.21), E-DII (per 1 point, 1.05, 1.01-1.08), HEI-2015 (per 10 points, 0.93, 0.89-0.97), MDS (per 1 point, 0.94, 0.90-0.97), and DASH (per 1 point, 0.96, 0.93-0.99). The associations of E-DII, HEI-2015, and MDS scores with 8-year mortality risk persisted after additionally adjusting for NI.

CONCLUSIONS

NI, E-DII, HEI-2015, MDS, and DASH scores are associated with frailty and 8-year mortality risk in adults across all ages. Nevertheless, their mechanisms and sensitivity to predict health outcomes may differ. Nutrition scores have the potential to include measures of both consumption and laboratory and physical measures of exposure.

摘要

背景

除了能量和个别营养素的摄入量外,饮食模式也可能影响健康,从而增加不良健康结果的风险。不同的饮食指标与衰弱(一种对不良健康结果易感性增加的综合衡量标准)和死亡率风险的关系,以及这种关系在整个生命周期中的变化情况尚不清楚。我们研究了五种饮食指数(营养指数(NI)、能量密度膳食炎症指数(E-DII™)、健康饮食指数-2015(HEI-2015)、地中海饮食评分(MDS)和停止高血压的饮食方法(DASH))与衰弱和死亡率的关系。

方法

我们纳入了 2007-2012 年全国健康和营养调查(NHANES)中≥20 岁的 15249 名参与者。NI 结合了 31 种与营养相关的缺陷。E-DII 是一种与炎症相关的文献衍生饮食指数。HEI-2015 评估了对美国膳食指南的遵守情况。MDS 代表对传统地中海饮食的遵守。DASH 结合了宏量营养素和微量营养素,以预防高血压。衰弱是通过 36 项衰弱指数来评估的。截至 2015 年 12 月 31 日,我们确定了死亡率状况。

结果

参与者的平均年龄为 47.2±16.7 岁,51.7%为女性。在调整年龄、性别、种族、教育程度、婚姻和就业状况、吸烟、BMI 和研究队列后,较高的 NI 和 E-DII 评分以及较低的 HEI-2015、MDS 和 DASH 评分与衰弱独立相关。在调整基本协变量和衰弱后,所有饮食评分均与 8 年死亡率风险显著相关:NI(每 0.1 分的危险比,1.15,95%CI 1.10-1.21)、E-DII(每 1 分,1.05,1.01-1.08)、HEI-2015(每 10 分,0.93,0.89-0.97)、MDS(每 1 分,0.94,0.90-0.97)和 DASH(每 1 分,0.96,0.93-0.99)。在另外调整 NI 后,E-DII、HEI-2015 和 MDS 评分与 8 年死亡率风险的关联仍然存在。

结论

NI、E-DII、HEI-2015、MDS 和 DASH 评分与成年人的衰弱和 8 年死亡率风险相关,无论年龄大小。然而,它们预测健康结果的机制和敏感性可能不同。营养评分有可能包括消耗和实验室及身体暴露的测量指标。

https://cdn.ncbi.nlm.nih.gov/pmc/blobs/2247/7962372/a0913f21a9c7/12916_2021_1918_Fig1_HTML.jpg

文献AI研究员

20分钟写一篇综述,助力文献阅读效率提升50倍。

立即体验

用中文搜PubMed

大模型驱动的PubMed中文搜索引擎

马上搜索

文档翻译

学术文献翻译模型,支持多种主流文档格式。

立即体验