Suppr超能文献

TERC、TERT 基因多态性与急性心力衰竭白细胞端粒长度的预后关联:一项前瞻性研究。

Prognostic Association of TERC, TERT Gene Polymorphism, and Leukocyte Telomere Length in Acute Heart Failure: A Prospective Study.

机构信息

Department of Critical Care Medicine, The First Affiliated Hospital of Nanjing Medical University, Nanjing, China.

Department of Cardiology, The First Affiliated Hospital of Nanjing Medical University, Nanjing, China.

出版信息

Front Endocrinol (Lausanne). 2021 Mar 8;12:650922. doi: 10.3389/fendo.2021.650922. eCollection 2021.

Abstract

BACKGROUND

Telomere length and telomerase are associated in development of cardiovascular diseases. Study aims to investigate the associations of TERC and TERT gene polymorphism and leukocyte telomere length (LTL) in the prognosis of acute heart failure (AHF).

METHODS

Total 322 patients with AHF were enrolled and divided into death and survival group according to all-cause mortality within 18 months. Seven single nucleotide polymorphisms (SNPs) of TERC and TERT were selected. Baseline characteristics, genotype distribution and polymorphic allele frequency, and genetic model were initially analyzed. Genotypes and the LTL were determined for further analysis.

RESULTS

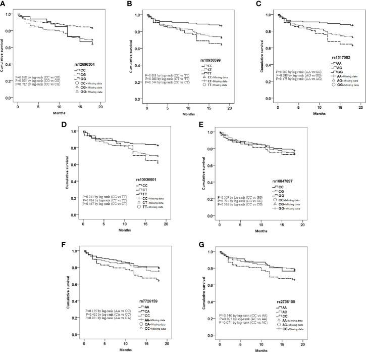
Compared to carrying homozygous wild genotype, the risk of death in patients with mutated alleles of four SNPs- rs12696304(G>C), rs10936599(T>C), rs1317082(G>A), and rs10936601(T>C) of TERC were significantly higher. The dominant models of above were independently associated with mortality. In recessive models, rs10936599 and rs1317082 of TERC, rs7726159 of TERT were independently associated with long-term mortality. Further analysis showed, in haplotype consisting with TERC - rs12696304, rs10936599, rs1317082, and rs10936601, mutant alleles CCAC and wild alleles GTGT were significant difference between groups (P<0.05). CCAC is a risk factor and GTGT is a protective factor for AHF patients. Relative LTL decreased over age, but showed no difference between groups and genotypes.

CONCLUSIONS

The SNPs of TERC and TERT are associated with the prognosis of AHF, and are the independent risk factors for predicting 18-month mortality in AHF.

摘要

背景

端粒长度和端粒酶在心血管疾病的发展中相关。本研究旨在探讨 TERC 和 TERT 基因多态性与白细胞端粒长度(LTL)在急性心力衰竭(AHF)预后中的关系。

方法

共纳入 322 例 AHF 患者,根据 18 个月内全因死亡率将其分为死亡组和存活组。选择 TERC 和 TERT 的 7 个单核苷酸多态性(SNP)。分析基线特征、基因型分布和多态性等位基因频率、遗传模型。进一步进行基因型和 LTL 检测。

结果

与携带纯合野生基因型相比,TERC 的 rs12696304(G>C)、rs10936599(T>C)、rs1317082(G>A)和 rs10936601(T>C)四个 SNP 的突变等位基因的患者死亡风险显著更高。上述显性模型与死亡率独立相关。在隐性模型中,TERC 的 rs10936599 和 rs1317082、TERT 的 rs7726159 与长期死亡率独立相关。进一步分析表明,在包含 TERC-rs12696304、rs10936599、rs1317082 和 rs10936601 的单倍型中,突变等位基因 CCAC 和野生等位基因 GTGT 在组间有显著差异(P<0.05)。CCAC 是 AHF 患者的危险因素,GTGT 是保护因素。相对 LTL 随年龄增长而降低,但组间和基因型间无差异。

结论

TERC 和 TERT 的 SNP 与 AHF 的预后相关,是预测 AHF 患者 18 个月死亡率的独立危险因素。

https://cdn.ncbi.nlm.nih.gov/pmc/blobs/dc1b/7982721/2d70554c1e41/fendo-12-650922-g001.jpg

文献AI研究员

20分钟写一篇综述,助力文献阅读效率提升50倍。

立即体验

用中文搜PubMed

大模型驱动的PubMed中文搜索引擎

马上搜索

文档翻译

学术文献翻译模型,支持多种主流文档格式。

立即体验