Suppr超能文献

急性髓系白血病中的 FLT3-ITD 突变 - 分子特征、分布和数量变化。

FLT3-ITD mutations in acute myeloid leukaemia - molecular characteristics, distribution and numerical variation.

机构信息

Department of Clinical Science, Centre for Cancer Biomarkers CCBIO, University of Bergen, Norway.

Haematology Section, Department of Medicine, Haukeland University Hospital, Helse Bergen HF, Norway.

出版信息

Mol Oncol. 2021 Sep;15(9):2300-2317. doi: 10.1002/1878-0261.12961. Epub 2021 May 2.

Abstract

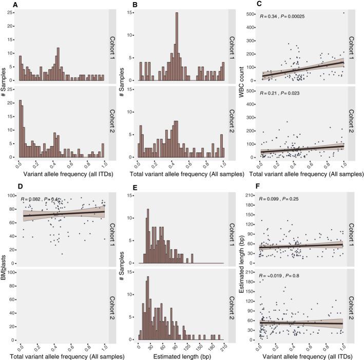
Recurrent somatic internal tandem duplications (ITD) in the FMS-like tyrosine kinase 3 (FLT3) gene characterise approximately one third of patients with acute myeloid leukaemia (AML), and FLT3-ITD mutation status guides risk-adapted treatment strategies. The aim of this work was to characterise FLT3-ITD variant distribution in relation to molecular and clinical features, and overall survival in adult AML patients. We performed two parallel retrospective cohort studies investigating FLT3-ITD length and expression by cDNA fragment analysis, followed by Sanger sequencing in a subset of samples. In the two cohorts, a total of 139 and 172 mutant alleles were identified in 111 and 123 patients, respectively, with 22% and 28% of patients presenting with more than one mutated allele. Further, 15% and 32% of samples had a FLT3-ITD total variant allele frequency (VAF) < 0.3, while 24% and 16% had a total VAF ≥ 0.7. Most of the assessed clinical features did not significantly correlate to FLT3-ITD numerical variation nor VAF. Low VAF was, however, associated with lower white blood cell count, while increasing VAF correlated with inferior overall survival in one of the cohorts. In the other cohort, ITD length above 50 bp was identified to correlate with inferior overall survival. Our report corroborates the poor prognostic association with high FLT3-ITD disease burden, as well as extensive inter- and intrapatient heterogeneity in the molecular features of FLT3-ITD. We suggest that future use of FLT3-targeted therapy could be accompanied with thorough molecular diagnostics and follow-up to better predict optimal therapy responders.

摘要

FLT3 基因内串联重复(ITD)的反复出现是大约三分之一急性髓系白血病(AML)患者的特征,FLT3-ITD 突变状态指导风险适应的治疗策略。本研究的目的是研究 FLT3-ITD 变异的分布与分子和临床特征以及成年 AML 患者的总生存之间的关系。我们进行了两项平行的回顾性队列研究,通过 cDNA 片段分析检测 FLT3-ITD 长度和表达,然后在部分样本中进行 Sanger 测序。在这两个队列中,分别在 111 名和 123 名患者中发现了总共 139 和 172 个突变等位基因,分别有 22%和 28%的患者存在多个突变等位基因。此外,15%和 32%的样本 FLT3-ITD 总变异等位基因频率(VAF)<0.3,而 24%和 16%的样本总 VAF≥0.7。评估的大多数临床特征与 FLT3-ITD 的数量变化或 VAF 没有显著相关性。然而,低 VAF 与白细胞计数降低相关,而在一个队列中,VAF 增加与总体生存不良相关。在另一个队列中,发现 ITD 长度大于 50bp 与总体生存不良相关。我们的报告证实了与高 FLT3-ITD 疾病负担相关的不良预后,以及 FLT3-ITD 分子特征的广泛的患者内和患者间异质性。我们建议,未来使用 FLT3 靶向治疗可以伴随着彻底的分子诊断和随访,以更好地预测最佳治疗反应者。

https://cdn.ncbi.nlm.nih.gov/pmc/blobs/e4fb/8410560/14355e96ab7e/MOL2-15-2300-g006.jpg

文献AI研究员

20分钟写一篇综述,助力文献阅读效率提升50倍。

立即体验

用中文搜PubMed

大模型驱动的PubMed中文搜索引擎

马上搜索

文档翻译

学术文献翻译模型,支持多种主流文档格式。

立即体验