Suppr超能文献

转移性 Merkel 细胞癌患者停止免疫检查点抑制剂治疗后的应答持久性:一项回顾性多中心 DeCOG 研究。

Response durability after cessation of immune checkpoint inhibitors in patients with metastatic Merkel cell carcinoma: a retrospective multicenter DeCOG study.

机构信息

Department of Dermatology, University Medical Center of the Johannes Gutenberg University, Mainz, Germany.

Department of Dermatology, Elbe-Kliniken Buxtehude, Buxtehude, Germany.

出版信息

Cancer Immunol Immunother. 2021 Nov;70(11):3313-3322. doi: 10.1007/s00262-021-02925-4. Epub 2021 Apr 18.

Abstract

BACKGROUND

Immune checkpoint inhibitors (ICI) have led to a prolongation of progression-free and overall survival in patients with metastatic Merkel cell carcinoma (MCC). However, immune-mediated adverse events due to ICI therapy are common and often lead to treatment discontinuation. The response duration after cessation of ICI treatment is unknown. Hence, this study aimed to investigate the time to relapse after discontinuation of ICI in MCC patients.

METHODS

We analyzed 20 patients with metastatic MCC who have been retrospectively enrolled at eleven skin cancer centers in Germany. These patients have received ICI therapy and showed as best overall response (BOR) at least a stable disease (SD) upon ICI therapy. All patients have discontinued ICI therapy for other reasons than disease progression. Data on treatment duration, tumor response, treatment cessation, response durability, and tumor relapse were recorded.

RESULTS

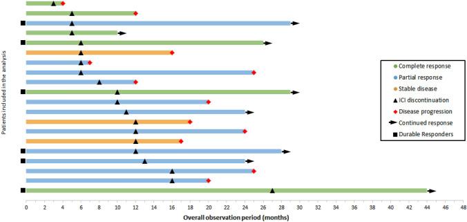
Overall, 12 of 20 patients (60%) with MCC relapsed after discontinuation of ICI. The median response durability was 10.0 months. Complete response (CR) as BOR to ICI-treatment was observed in six patients, partial response (PR) in eleven, and SD in three patients. Disease progression was less frequent in patients with CR (2/6 patients relapsed) as compared to patients with PR (7/11) and SD (3/3), albeit the effect of initial BOR on the response durability was below statistical significance. The median duration of ICI therapy was 10.0 months. Our results did not show a correlation between treatment duration and the risk of relapse after treatment withdrawal. Major reasons for discontinuation of ICI therapy were CR (20%), adverse events (35%), fatigue (20%), or patient decision (25%). Discontinuation of ICI due to adverse events resulted in progressive disease (PD) in 71% of patients regardless of the initial response. A re-induction of ICI was initiated in 8 patients upon tumor progression. We observed a renewed tumor response in 4 of these 8 patients. Notably, all 4 patients showed an initial BOR of at least PR.

CONCLUSION

Our results from this contemporary cohort of patients with metastatic MCC indicate that MCC patients are at higher risk of relapse after discontinuation of ICI as compared to melanoma patients. Notably, the risk of disease progression after discontinuation of ICI treatment is lower in patients with initial CR (33%) as compared to patients with initial PR (66%) or SD (100%). Upon tumor progression, re-induction of ICI is a feasible option. Our data suggest that the BOR to initial ICI therapy might be a potential predictive clinical marker for a successful re-induction.

摘要

背景

免疫检查点抑制剂(ICI)可延长转移性默克尔细胞癌(MCC)患者的无进展生存期和总生存期。然而,ICI 治疗引起的免疫介导的不良反应很常见,且常导致治疗中断。ICI 治疗停止后的缓解持续时间尚不清楚。因此,本研究旨在探讨 MCC 患者停止 ICI 治疗后的复发时间。

方法

我们分析了在德国 11 个皮肤癌中心接受回顾性招募的 20 名转移性 MCC 患者。这些患者接受了 ICI 治疗,在 ICI 治疗期间,至少有 1 名患者表现为稳定疾病(SD)的最佳总体反应(BOR)。所有患者因疾病进展以外的其他原因停止 ICI 治疗。记录了治疗持续时间、肿瘤反应、治疗停止、反应持续时间和肿瘤复发的数据。

结果

总体而言,20 名 MCC 患者中有 12 名(60%)在停止 ICI 治疗后复发。中位反应持续时间为 10.0 个月。6 名患者对 ICI 治疗的完全缓解(CR)为 BOR,11 名患者部分缓解(PR),3 名患者疾病稳定(SD)。CR(2/6 例患者复发)患者的疾病进展频率低于 PR(7/11)和 SD(3/3)患者,尽管初始 BOR 对反应持续时间的影响无统计学意义。ICI 治疗的中位持续时间为 10.0 个月。我们的结果未显示治疗持续时间与治疗停药后复发风险之间存在相关性。停止 ICI 治疗的主要原因是 CR(20%)、不良反应(35%)、疲劳(20%)或患者决定(25%)。由于不良反应而停止 ICI 治疗的患者中有 71%发生疾病进展(PD)。在肿瘤进展时,8 名患者重新开始 ICI 诱导。我们观察到这 8 名患者中有 4 名的肿瘤重新出现反应。值得注意的是,所有 4 名患者的初始 BOR 至少为 PR。

结论

本研究中转移性 MCC 患者的当代队列结果表明,与黑色素瘤患者相比,MCC 患者在停止 ICI 后复发的风险更高。值得注意的是,与初始 PR(66%)或 SD(100%)相比,初始 CR(33%)患者停止 ICI 治疗后的疾病进展风险较低。肿瘤进展时,重新诱导 ICI 是一种可行的选择。我们的数据表明,对初始 ICI 治疗的 BOR 可能是成功重新诱导的潜在预测临床标志物。

https://cdn.ncbi.nlm.nih.gov/pmc/blobs/dea4/10994207/a263b4923b76/262_2021_2925_Fig1_HTML.jpg

文献AI研究员

20分钟写一篇综述,助力文献阅读效率提升50倍。

立即体验

用中文搜PubMed

大模型驱动的PubMed中文搜索引擎

马上搜索

文档翻译

学术文献翻译模型,支持多种主流文档格式。

立即体验