Suppr超能文献

使用两样本方法对大型单数据集进行孟德尔随机化分析。

The use of two-sample methods for Mendelian randomization analyses on single large datasets.

机构信息

National Heart and Lung Institute, Imperial College London, London, UK.

Institute for Biomedicine, Eurac Research, Bolzano, Italy.

出版信息

Int J Epidemiol. 2021 Nov 10;50(5):1651-1659. doi: 10.1093/ije/dyab084.

Abstract

BACKGROUND

With genome-wide association data for many exposures and outcomes now available from large biobanks, one-sample Mendelian randomization (MR) is increasingly used to investigate causal relationships. Many robust MR methods are available to address pleiotropy, but these assume independence between the gene-exposure and gene-outcome association estimates. Unlike in two-sample MR, in one-sample MR the two estimates are obtained from the same individuals, and the assumption of independence does not hold in the presence of confounding.

METHODS

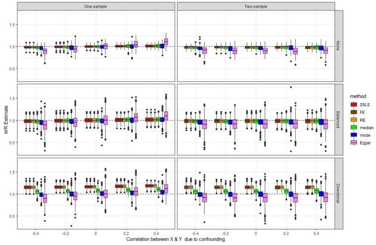
With simulations mimicking a typical study in UK Biobank, we assessed the performance, in terms of bias and precision of the MR estimate, of the fixed-effect and (multiplicative) random-effects meta-analysis method, weighted median estimator, weighted mode estimator and MR-Egger regression, used in both one-sample and two-sample data. We considered scenarios differing by the: presence/absence of a true causal effect; amount of confounding; and presence and type of pleiotropy (none, balanced or directional).

RESULTS

Even in the presence of substantial correlation due to confounding, all two-sample methods used in one-sample MR performed similarly to when used in two-sample MR, except for MR-Egger which resulted in bias reflecting direction and magnitude of the confounding. Such bias was much reduced in the presence of very high variability in instrument strength across variants (IGX2 of 97%).

CONCLUSIONS

Two-sample MR methods can be safely used for one-sample MR performed within large biobanks, expect for MR-Egger. MR-Egger is not recommended for one-sample MR unless the correlation between the gene-exposure and gene-outcome estimates due to confounding can be kept low, or the variability in instrument strength is very high.

摘要

背景

随着来自大型生物库的许多暴露和结局的全基因组关联数据的出现,单样本孟德尔随机化(MR)越来越多地用于研究因果关系。有许多强大的 MR 方法可用于解决多效性问题,但这些方法假设基因-暴露和基因-结局关联估计之间是独立的。与两样本 MR 不同,在单样本 MR 中,两个估计值是从同一批个体中获得的,并且在存在混杂的情况下,独立性假设不成立。

方法

通过模拟英国生物库中一项典型研究的模拟,我们评估了固定效应和(乘法)随机效应荟萃分析方法、加权中位数估计量、加权众数估计量和 MR-Egger 回归在单样本和两样本数据中的表现,这些方法在单样本和两样本数据中都有使用。我们考虑了以下几种情况:是否存在真正的因果效应;混杂的程度;以及多效性的存在和类型(无、平衡或定向)。

结果

即使在由于混杂导致的相关性很大的情况下,除了 MR-Egger 之外,所有在单样本 MR 中使用的两样本方法的表现与在两样本 MR 中使用时相似,MR-Egger 会导致偏差,反映混杂的方向和程度。在变体之间的工具强度高度变化(IGX2 为 97%)的情况下,这种偏差会大大减少。

结论

除非由于混杂导致基因-暴露和基因-结局估计之间的相关性可以保持较低,或者工具强度的变异性非常高,否则不建议在单样本 MR 中使用 MR-Egger,否则两样本 MR 方法可安全地用于在大型生物库中进行的单样本 MR。

https://cdn.ncbi.nlm.nih.gov/pmc/blobs/8147/8580269/2940b8b69740/dyab084f1.jpg

文献AI研究员

20分钟写一篇综述,助力文献阅读效率提升50倍。

立即体验

用中文搜PubMed

大模型驱动的PubMed中文搜索引擎

马上搜索

文档翻译

学术文献翻译模型,支持多种主流文档格式。

立即体验