Suppr超能文献

儿童空气中有毒分子排放与1型糖尿病发病率之间的关系:一项生态学研究。

Relationships between emissions of toxic airborne molecules and type 1 diabetes incidence in children: An ecologic study.

作者信息

Di Ciaula Agostino, Portincasa Piero

机构信息

Clinica Medica "A. Murri", Department of Biomedical Sciences and Human Oncology, University of Bari Medical School, Bari 70124, Italy.

出版信息

World J Diabetes. 2021 May 15;12(5):673-684. doi: 10.4239/wjd.v12.i5.673.

Abstract

BACKGROUND

Type 1 diabetes originates from gene-environment interactions, with increasing incidence over time.

AIM

To identify correlates of childhood type 1 diabetes in European countries using an ecological approach. Several environmental variables potentially influencing the onset of type 1 diabetes have been previously evaluated. However, the relationships between epidemiologic data and exposure to toxic airborne molecules are scarcely studied.

METHODS

We employed an ecological model to explore, in a wide time period (1990-2018), associations between type 1 diabetes incidence in 19 European countries (systematic literature review) and the nationwide production of five widely diffused air pollutants: particulate matter < 10 μm (PM10), nitrogen oxides (NO), non-methane volatile organic compounds (VOCs), sulphur oxide (SO), and ammonia.

RESULTS

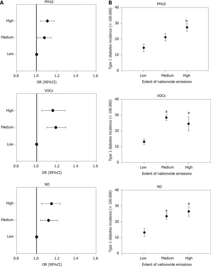
Data confirm a raising incidence of type 1 diabetes in 18 out of 19 explored countries. The average difference (last first report, all countries) was +6.9 × 100000/year, with values ranging from -1.4 (Germany) to +16.6 (Sweden) per 100000/year. Although the overall production of pollutants decreased progressively from 1990 to 2018, type 1 diabetes incidence was positively associated with the nationwide emissions of PM10, VOCs, and NO but not with those of SO2 and ammonia. Type 1 diabetes incidence was significantly higher in countries with high emissions than in those with low emissions of PM10 (27.5 ± 2.4 14.6 ± 2.4 × 100000 residents, respectively), VOCs (24.5 ± 4.4 13.2 ± 1.7 × 100000 residents, respectively), and NO (26.6 ± 3 13.4 ± 2.4 × 100000 residents, respectively), but not of SO or ammonia.

CONCLUSION

Evidence justify further studies to explore better links between long-term air quality and type 1 diabetes onset at the individual level, which should include exposures during pregnancy. In this respect, type 1 diabetes could be, at least in part, a preventable condition. Thus, primary prevention policies acting through a marked abatement of pollutant emissions might attenuate future type 1 diabetes incidence throughout Europe.

摘要

背景

1型糖尿病源于基因与环境的相互作用,且发病率随时间不断上升。

目的

采用生态学方法确定欧洲国家儿童1型糖尿病的相关因素。此前已对一些可能影响1型糖尿病发病的环境变量进行了评估。然而,流行病学数据与接触空气中有毒分子之间的关系鲜有研究。

方法

我们采用一种生态学模型,在一个较长时间段(1990 - 2018年)内,探究19个欧洲国家1型糖尿病发病率(系统文献综述)与全国范围内五种广泛扩散的空气污染物的排放量之间的关联,这五种污染物分别是:粒径小于10微米的颗粒物(PM10)、氮氧化物(NO)、非甲烷挥发性有机化合物(VOCs)、硫氧化物(SO)和氨。

结果

数据证实,在19个被探究的国家中,有18个国家的1型糖尿病发病率呈上升趋势。平均差异(最后一份报告 - 第一份报告,所有国家)为每年 +6.9/10万,每10万人的数值范围从 -1.4(德国)到 +16.6(瑞典)。尽管从1990年到2018年污染物的总体排放量逐渐下降,但1型糖尿病发病率与全国范围内PM10、VOCs和NO的排放量呈正相关,与SO2和氨的排放量无关。在PM10高排放国家,1型糖尿病发病率显著高于低排放国家(分别为27.5 ± 2.4和14.6 ± 2.4/10万居民),VOCs方面(分别为24.5 ± 4.4和13.2 ± 1.7/10万居民),NO方面(分别为26.6 ± 3和13.4 ± 2.4/10万居民),而SO或氨排放量方面则不然。

结论

有证据表明有必要进一步开展研究,以更好地探究长期空气质量与个体层面1型糖尿病发病之间的联系,这应包括孕期暴露情况。在这方面,1型糖尿病至少在一定程度上可能是一种可预防的疾病。因此,通过大幅减少污染物排放来实施的一级预防政策可能会降低未来整个欧洲1型糖尿病的发病率。

https://cdn.ncbi.nlm.nih.gov/pmc/blobs/e837/8107975/3cd262f07743/WJD-12-673-g001.jpg

文献AI研究员

20分钟写一篇综述,助力文献阅读效率提升50倍。

立即体验

用中文搜PubMed

大模型驱动的PubMed中文搜索引擎

马上搜索

文档翻译

学术文献翻译模型,支持多种主流文档格式。

立即体验