Suppr超能文献

巴西住院 COVID-19 儿童和青少年的临床特征和死亡风险因素:一项全国性数据库分析。

Clinical characteristics and risk factors for death among hospitalised children and adolescents with COVID-19 in Brazil: an analysis of a nationwide database.

机构信息

Department of Pediatrics, Health Sciences Postgraduate Program, School of Medicine, Federal University of Minas Gerais, Belo Horizonte, Brazil; Department of Pediatrics, University of California, San Diego, La Jolla, CA, USA.

Department of Statistics, Federal University of Minas Gerais, Belo Horizonte, Brazil.

出版信息

Lancet Child Adolesc Health. 2021 Aug;5(8):559-568. doi: 10.1016/S2352-4642(21)00134-6. Epub 2021 Jun 11.

Abstract

BACKGROUND

COVID-19 is usually less severe and has lower case fatality in children than in adults. We aimed to characterise the clinical features of children and adolescents hospitalised with laboratory-confirmed SARS-CoV-2 infection and to evaluate the risk factors for COVID-19-related death in this population.

METHODS

We did an analysis of all patients younger than 20 years who had quantitative RT-PCR-confirmed COVID-19 and were registered in the Influenza Epidemiological Surveillance Information System (SIVEP-Gripe, a nationwide surveillance database of patients admitted to hospital with severe acute respiratory disease in Brazil), between Feb 16, 2020, and Jan 9, 2021. The primary outcome was time to recovery (discharge) or in-hospital death, evaluated by competing risks analysis using the cumulative incidence function.

FINDINGS

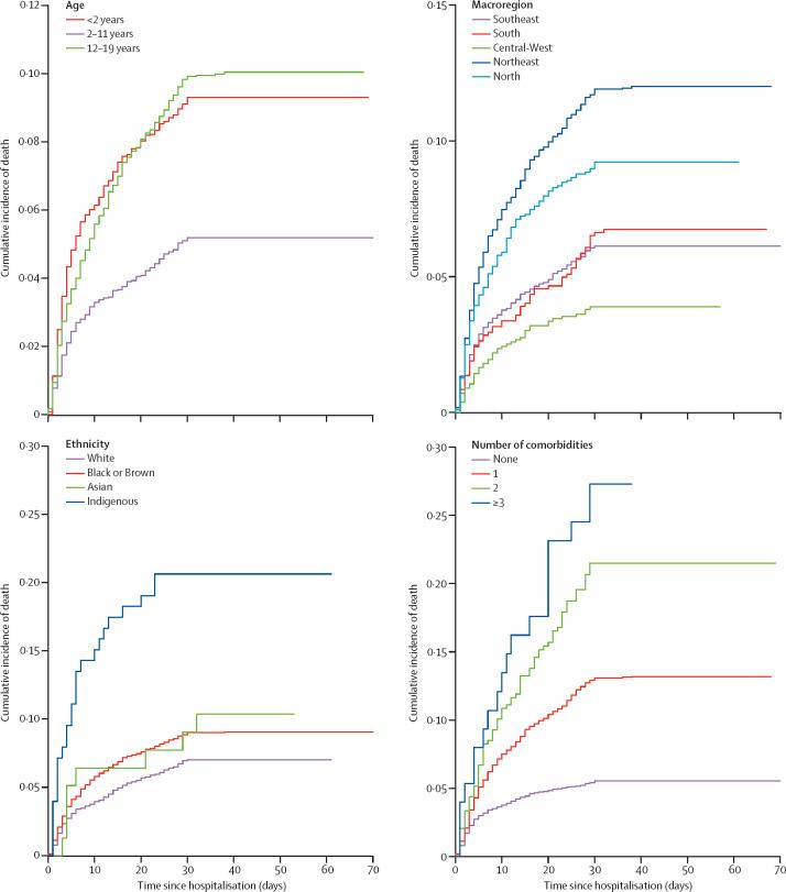
Of the 82 055 patients younger than 20 years reported to SIVEP-Gripe during the study period, 11 613 (14·2%) had available data showing laboratory-confirmed SARS-CoV-2 infection and were included in the sample. Among these patients, 886 (7·6%) died in hospital (at a median 6 days [IQR 3-15] after hospital admission), 10 041 (86·5%) patients were discharged from the hospital, 369 (3·2%) were in hospital at the time of analysis, and 317 (2·7%) were missing information on outcome. The estimated probability of death was 4·8% during the first 10 days after hospital admission, 6·7% during the first 20 days, and 8·1% at the end of follow-up. Probability of discharge was 54·1% during the first 10 days, 78·4% during the first 20 days, and 92·0% at the end of follow-up. Our competing risks multivariate survival analysis showed that risk of death was increased in infants younger than 2 years (hazard ratio 2·36 [95% CI 1·94-2·88]) or adolescents aged 12-19 years (2·23 [1·84-2·71]) relative to children aged 2-11 years; those of Indigenous ethnicity (3·36 [2·15-5·24]) relative to those of White ethnicity; those living in the Northeast region (2·06 [1·68-2·52]) or North region (1·55 [1·22-1·98]) relative to those in the Southeast region; and those with one (2·96 [2·52-3·47]), two (4·96 [3·80-6·48]), or three or more (7·28 [4·56-11·6]) pre-existing medical conditions relative to those with none.

INTERPRETATION

Death from COVID-19 was associated with age, Indigenous ethnicity, poor geopolitical region, and pre-existing medical conditions. Disparities in health care, poverty, and comorbidities can contribute to magnifying the burden of COVID-19 in more vulnerable and socioeconomically disadvantaged children and adolescents in Brazil.

FUNDING

National Council for Scientific and Technological Development, Research Support Foundation of Minas Gerais.

摘要

背景

与成年人相比,儿童感染 COVID-19 的症状较轻,病死率较低。本研究旨在描述实验室确诊的 SARS-CoV-2 感染的住院儿童和青少年的临床特征,并评估该人群中 COVID-19 相关死亡的风险因素。

方法

我们对 2020 年 2 月 16 日至 2021 年 1 月 9 日期间在 Influenza Epidemiological Surveillance Information System(SIVEP-Gripe,巴西全国严重急性呼吸道疾病住院患者监测数据库)登记的定量 RT-PCR 确诊 COVID-19 的年龄<20 岁的所有患者进行了分析。主要结局是通过使用累积发生率函数进行竞争风险分析评估的恢复(出院)或住院死亡时间。

发现

在研究期间报告给 SIVEP-Gripe 的年龄<20 岁的 82055 名患者中,有 11613 名(14.2%)有显示实验室确诊 SARS-CoV-2 感染的可用数据,并被纳入样本。这些患者中,886 名(7.6%)在医院死亡(中位数为住院后 6 天[IQR 3-15]),10041 名(86.5%)患者出院,369 名(3.2%)在分析时仍在住院,317 名(2.7%)的出院信息缺失。住院后第 10 天内死亡的估计概率为 4.8%,第 20 天为 6.7%,随访结束时为 8.1%。住院后第 10 天的出院概率为 54.1%,第 20 天为 78.4%,随访结束时为 92.0%。我们的多变量竞争风险生存分析表明,与 2-11 岁儿童相比,2 岁以下婴儿(风险比 2.36[95%CI 1.94-2.88])或 12-19 岁青少年(2.23[1.84-2.71])的死亡风险增加;与白人相比,原住民(3.36[2.15-5.24])的死亡风险增加;与东南部地区相比,东北部(2.06[1.68-2.52])或北部(1.55[1.22-1.98])地区的死亡风险增加;与无基础疾病的患者相比,有 1 种(2.96[2.52-3.47])、2 种(4.96[3.80-6.48])或 3 种或以上(7.28[4.56-11.6])基础疾病的患者的死亡风险增加。

解释

COVID-19 死亡与年龄、原住民种族、较差的地缘政治区域和基础疾病有关。卫生保健、贫困和合并症方面的差异可能导致巴西更脆弱和社会经济劣势的儿童和青少年 COVID-19 负担加重。

资金

巴西国家科学技术发展委员会,米纳斯吉拉斯州研究支持基金会。

https://cdn.ncbi.nlm.nih.gov/pmc/blobs/dabc/8192298/a0c170af6327/gr1_lrg.jpg

文献AI研究员

20分钟写一篇综述,助力文献阅读效率提升50倍。

立即体验

用中文搜PubMed

大模型驱动的PubMed中文搜索引擎

马上搜索

文档翻译

学术文献翻译模型,支持多种主流文档格式。

立即体验