Suppr超能文献

新型奥沙利铂-焦磷酸酯类似物,体外细胞毒性得到改善。

New Oxaliplatin-Pyrophosphato Analogs with Improved In Vitro Cytotoxicity.

机构信息

Dipartimento di Chimica, Università degli Studi di Bari Aldo Moro, Via E. Orabona 4, 70125 Bari, Italy.

Laboratorio di Farmacologia Sperimentale, IRCCS Istituto Tumori "Giovanni Paolo II", O. Flacco St., 70124 Bari, Italy.

出版信息

Molecules. 2021 Jun 4;26(11):3417. doi: 10.3390/molecules26113417.

Abstract

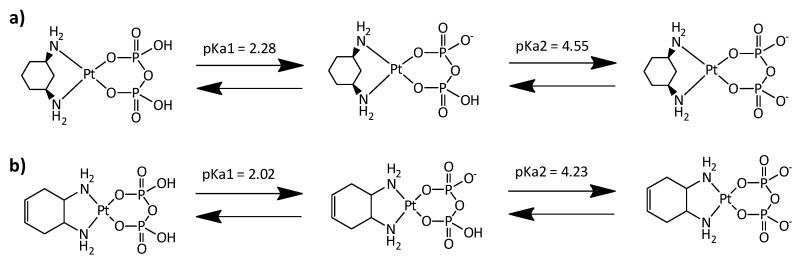
Two new Pt(II)-pyrophosphato complexes containing the carrier ligands -1,3-diaminocyclohexane (-1,3-DACH) and -1,2-diamine-4-cyclohexene (1,2-DACHEX), variants of the 1,2-diaminocyclohexane ligand present in the clinically used Pt-drug oxaliplatin, have been synthesized with the aim of developing new potential antitumor drugs with high bone tropism. The complexes are more stable at physiological pH than in acid conditions, with Na[Pt(pyrophosphato)(-1,3-DACH)] () slightly more stable than [Pt(dihydrogenpyrophosphato)(1,2-DACHEX)] (). The greater reactivity at acidic pH ensures a greater efficacy at the tumor site. Preliminary NMR studies indicate that and react slowly with 5'-GMP (used as a model of nucleic acids), releasing the pyrophosphate ligand and affording the bis 5'-GMP adduct. In vitro cytotoxicity assays performed against a panel of four human cancer cell lines have shown that both compounds are more active than oxaliplatin. Flow cytometry studies on HCT116 cells showed that the pyrophosphato compounds with the non-classical 1,3- and 1,4-diaminocyclohexane ligands ( and ) are the most capable to induce cells' death by apoptosis and necrosis.

摘要

两种新的含有载体配体 -1,3-二氨基环己烷(-1,3-DACH)和-1,2-二胺-4-环己烯(1,2-DACHEX)的 Pt(II)-焦磷酸根配合物被合成,目的是开发具有高骨亲向性的新型潜在抗肿瘤药物。这些配合物在生理 pH 值下比在酸性条件下更稳定,其中 Na[Pt(焦磷酸根)(-1,3-DACH)]()比 [Pt(二氢焦磷酸根)(1,2-DACHEX)]()略稳定。在酸性 pH 值下的更高反应性确保了在肿瘤部位的更大疗效。初步的 NMR 研究表明,和与 5'-GMP(用作核酸的模型)缓慢反应,释放焦磷酸根配体,并得到双 5'-GMP 加合物。对四种人癌细胞系进行的体外细胞毒性测定表明,这两种化合物都比奥沙利铂更具活性。对 HCT116 细胞的流式细胞术研究表明,具有非经典 1,3-和 1,4-二氨基环己烷配体(和)的焦磷酸根化合物最能够诱导细胞通过凋亡和坏死死亡。

https://cdn.ncbi.nlm.nih.gov/pmc/blobs/71dc/8200237/55c7d1b53890/molecules-26-03417-g001.jpg

文献AI研究员

20分钟写一篇综述,助力文献阅读效率提升50倍。

立即体验

用中文搜PubMed

大模型驱动的PubMed中文搜索引擎

马上搜索

文档翻译

学术文献翻译模型,支持多种主流文档格式。

立即体验