Suppr超能文献

氮杂环庚三烯酮类色素的最新研究成果

Recent Findings in Azaphilone Pigments.

作者信息

Pimenta Lúcia P S, Gomes Dhionne C, Cardoso Patrícia G, Takahashi Jacqueline A

机构信息

Department of Chemistry, Universidade Federal de Minas Gerais (UFMG), Av. Antonio Carlos, 6627, Belo Horizonte CEP 31270-901, MG, Brazil.

Department of Food Science, Universidade Federal de Minas Gerais (UFMG), Av. Antonio Carlos, 6627, Belo Horizonte CEP 31270-901, MG, Brazil.

出版信息

J Fungi (Basel). 2021 Jul 7;7(7):541. doi: 10.3390/jof7070541.

Abstract

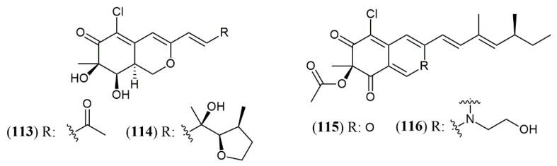
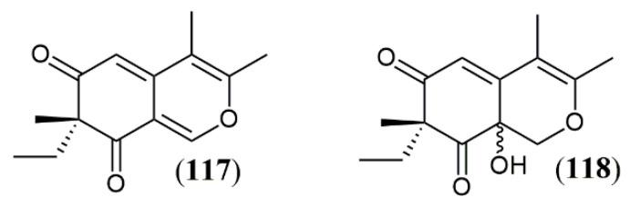
Filamentous fungi are known to biosynthesize an extraordinary range of azaphilones pigments with structural diversity and advantages over vegetal-derived colored natural products such agile and simple cultivation in the lab, acceptance of low-cost substrates, speed yield improvement, and ease of downstream processing. Modern genetic engineering allows industrial production, providing pigments with higher thermostability, water-solubility, and promising bioactivities combined with ecological functions. This review, covering the literature from 2020 onwards, focuses on the state-of-the-art of azaphilone dyes, the global market scenario, new compounds isolated in the period with respective biological activities, and biosynthetic pathways. Furthermore, we discussed the innovations of azaphilone cultivation and extraction techniques, as well as in yield improvement and scale-up. Potential applications in the food, cosmetic, pharmaceutical, and textile industries were also explored.

摘要

已知丝状真菌能生物合成种类繁多的氮杂环庚三烯酮类色素,其结构多样,相较于植物来源的有色天然产物具有优势,如在实验室易于培养且操作简单、能接受低成本底物、产量提升速度快以及下游加工简便。现代基因工程使得工业化生产成为可能,可提供具有更高热稳定性、水溶性且具有潜在生物活性并兼具生态功能的色素。本综述涵盖2020年以来的文献,重点关注氮杂环庚三烯酮染料的最新进展、全球市场情况、该时期分离出的具有各自生物活性的新化合物以及生物合成途径。此外,我们还讨论了氮杂环庚三烯酮培养和提取技术的创新,以及产量提高和扩大规模方面的情况。还探讨了其在食品、化妆品、制药和纺织工业中的潜在应用。

https://cdn.ncbi.nlm.nih.gov/pmc/blobs/98f3/8307326/f05ebcd41826/jof-07-00541-g010.jpg

文献AI研究员

20分钟写一篇综述,助力文献阅读效率提升50倍。

立即体验

用中文搜PubMed

大模型驱动的PubMed中文搜索引擎

马上搜索

文档翻译

学术文献翻译模型,支持多种主流文档格式。

立即体验