Suppr超能文献

. 中的抗生素耐药性和生物膜生成能力

Antibiotic Resistance and Biofilm Production Capacity in .

机构信息

The Azrieli Faculty of Medicine, Bar Ilan University, Safed, Israel.

Clinical Microbiology Laboratory, Baruch Padeh Medical Center, Poriya, Israel.

出版信息

Front Cell Infect Microbiol. 2021 Aug 4;11:683464. doi: 10.3389/fcimb.2021.683464. eCollection 2021.

Abstract

BACKGROUND

() is one of the primary pathogens responsible for infectious diarrhea. Antibiotic treatment failure, occurring in about 30% of patients, and elevated rates of antibiotic resistance pose a major challenge for therapy. Reinfection often occurs by isolates that produce biofilm, a protective barrier impermeable to antibiotics. We explored the association between antibiotic resistance (in planktonic form) and biofilm-production in 123  clinical isolates.

RESULTS

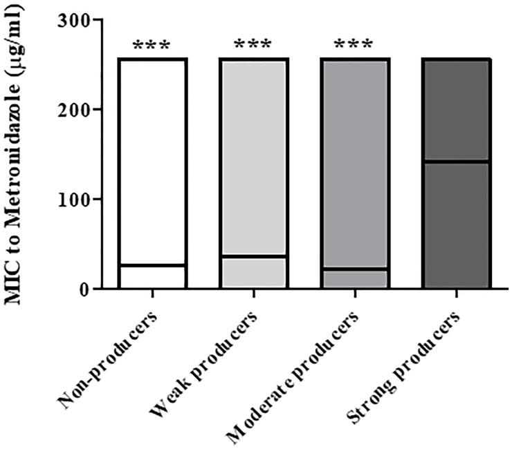
Overall, 66 (53.6%) out of 123 isolates produced a biofilm, with most of them being either a strong (44%) or moderate (34.8%) biofilm producers. When compared to susceptible isolates, a statistically higher percentage of isolates with reduced susceptibility to metronidazole or vancomycin were biofilm producers ( < 0.0001, for both antibiotics). Biofilm production intensity was higher among tolerant isolates; 53.1% of the metronidazole-susceptible isolates were not able to produce biofilms, and only 12.5% were strong biofilm-producers. In contrast, 63% of the isolates with reduced susceptibility had a strong biofilm-production capability, while 22.2% were non-producers. Among the vancomycin-susceptible isolates, 51% were unable to produce biofilms, while all the isolates with reduced vancomycin susceptibility were biofilm-producers. Additionally, strong biofilm production capacity was more common among the isolates with reduced vancomycin susceptibility, compared to susceptible isolates (72.7% 18.8%, respectively). The distribution of biofilm capacity groups was statistically different between different Sequence-types (ST) strains ( =0.001). For example, while most of ST2 (66.7%), ST13 (60%), ST42 (80%) isolates were non-producers, most (75%) ST6 isolates were moderate producers and most of ST104 (57.1%) were strong producers.

CONCLUSIONS

Our results suggest an association between reduced antibiotic susceptibility and biofilm production capacity. This finding reinforces the importance of antibiotic susceptibility testing, mainly in recurrence infections that may be induced by a strain that is both antibiotic tolerant and biofilm producer. Better adjustment of treatment in such cases may reduce recurrences rates and complications. The link of biofilm production and ST should be further validated; if ST can indicate on isolate virulence, then in the future, when strain typing methods will be more available to laboratories, ST determination may aid in indecision between supportive aggressive treatment.

摘要

背景

()是导致感染性腹泻的主要病原体之一。抗生素治疗失败在约 30%的患者中发生,而抗生素耐药率的升高对治疗构成了重大挑战。再感染通常由产生生物膜的分离株引起,生物膜是一种对抗生素不可渗透的保护性屏障。我们探讨了 123 例临床分离株中抗生素耐药性(浮游形式)与生物膜产生之间的关系。

结果

总体而言,123 株分离株中有 66 株(53.6%)产生生物膜,其中大多数为强(44%)或中度(34.8%)生物膜生产者。与敏感分离株相比,对甲硝唑或万古霉素的耐药性降低的分离株中,生物膜生产者的比例更高(两种抗生素均<0.0001)。在耐药分离株中,生物膜产生强度更高;53.1%的甲硝唑敏感分离株不能产生生物膜,只有 12.5%为强生物膜生产者。相比之下,63%的耐药分离株具有较强的生物膜产生能力,而 22.2%为非生产者。在万古霉素敏感分离株中,51%不能产生生物膜,而所有对万古霉素耐药性降低的分离株均为生物膜生产者。此外,与敏感分离株相比,对万古霉素耐药性降低的分离株中,具有较强生物膜产生能力的比例更高(分别为 72.7%和 18.8%)。不同序列型(ST)菌株之间生物膜能力组的分布存在统计学差异(=0.001)。例如,虽然大多数 ST2(66.7%)、ST13(60%)、ST42(80%)分离株为非生产者,但大多数 ST6 分离株(75%)为中度生产者,大多数 ST104(57.1%)为强生产者。

结论

我们的结果表明,抗生素耐药性降低与生物膜产生能力之间存在关联。这一发现强调了抗生素药敏试验的重要性,特别是在可能由既具有抗生素耐药性又具有生物膜产生能力的菌株引起的复发感染中。在这种情况下,更好地调整治疗可能会降低复发率和并发症发生率。生物膜产生与 ST 之间的联系需要进一步验证;如果 ST 可以指示分离株的毒力,那么在未来,当实验室更广泛地获得菌株分型方法时,ST 确定可能有助于在支持性和积极治疗之间做出决策。

https://cdn.ncbi.nlm.nih.gov/pmc/blobs/1418/8371447/c06f7669f717/fcimb-11-683464-g001.jpg

文献AI研究员

20分钟写一篇综述,助力文献阅读效率提升50倍。

立即体验

用中文搜PubMed

大模型驱动的PubMed中文搜索引擎

马上搜索

文档翻译

学术文献翻译模型,支持多种主流文档格式。

立即体验