Suppr超能文献

使用成分数据分析青少年运动行为与抑郁症状之间的纵向关联。

Longitudinal association between movement behaviours and depressive symptoms among adolescents using compositional data analysis.

机构信息

School of Epidemiology and Public Health, University of Ottawa, Ottawa, Ontario, Canada.

Healthy Active Living and Obesity Research Group, Children's Hospital of Eastern Ontario Research Institute, Ottawa, Ontario, Canada.

出版信息

PLoS One. 2021 Sep 1;16(9):e0256867. doi: 10.1371/journal.pone.0256867. eCollection 2021.

Abstract

BACKGROUND

Research examining the associations between movement behaviours and mental health indicators within a compositional framework are sparse and limited by their cross-sectional study design. This study has three objectives. First, to describe the change in movement behaviour composition over time. Second, to explore the association between change in movement behaviour composition and change in depressive symptoms. Third, to explore how reallocations of time between movement behaviours are associated with changes in depressive symptoms.

METHODS

Longitudinal data of 14,620 students in grades 9-12 (mean age: 14.9 years) attending secondary schools in Canada (Ontario, British Columbia, Alberta, Quebec) were obtained from two waves (2017/18, 2018/19) of the COMPASS study. Moderate-to-vigorous physical activity (MVPA), recreational screen time, and sleep duration were self-reported. Depressive symptoms were measured using the Center for Epidemiologic Studies Depression Scale (Revised)-10 (CESD-R-10). Compositional data analyses using pivot coordinates and compositional isotemporal substitution for longitudinal data were used to analyse the data. Analyses accounted for school clustering, were stratified by gender and age (< or ≥ 15 years), and were adjusted for race/ethnicity, body mass index z-score, baseline movement behaviour composition, and baseline depressive symptoms.

RESULTS

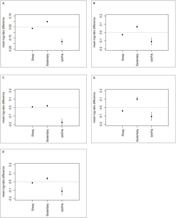
There were significant differences in movement behaviour composition over time across all subgroups. For example, the relative contributions of MVPA and sleep duration to the movement behaviour composition decreased over time while screen time increased among younger boys and girls and older girls. Increasing sleep duration relative to the remaining behaviours (i.e. screen time and MVPA) was associated with lower depressive symptoms among all subgroups. Increasing screen time relative to the remaining behaviours (i.e. MVPA and sleep duration) was associated with higher depressive symptoms among all subgroups. Increasing MVPA relative to the remaining behaviours (i.e. screen time and sleep duration) was associated with lower depressive symptoms in older girls only. Isotemporal substitution estimates indicated that decreasing screen time by 60 minutes/day and replacing that time with 60 minutes of additional sleep is associated with the largest change in depressive symptoms across all subgroups.

CONCLUSIONS

Findings from this prospective analysis suggest that increased sleep duration and reduced screen time are important determinants of lower depressive symptoms among adolescents.

摘要

背景

在组合框架内研究运动行为与心理健康指标之间的关联的研究很少,并且受到其横断面研究设计的限制。本研究有三个目标。首先,描述随时间推移运动行为组成的变化。其次,探讨运动行为组成变化与抑郁症状变化之间的关系。第三,探讨运动行为之间的时间分配变化与抑郁症状变化之间的关系。

方法

从加拿大(安大略省、不列颠哥伦比亚省、艾伯塔省、魁北克省)中学的两次 COMPASS 研究(2017/18 年和 2018/19 年)中获得了 14620 名 9-12 年级(平均年龄:14.9 岁)学生的纵向数据。中度至剧烈体力活动(MVPA)、娱乐性屏幕时间和睡眠时间均由自我报告。抑郁症状使用流行病学研究中心抑郁量表修订版-10(CESD-R-10)进行测量。使用枢轴坐标和纵向数据的组成等时替代法进行组成数据分析。分析考虑了学校聚类,按性别和年龄(<或≥15 岁)分层,并根据种族/民族、体重指数 z 分数、基线运动行为组成和基线抑郁症状进行调整。

结果

在所有亚组中,运动行为组成随时间均有显著差异。例如,MVPA 和睡眠时间对运动行为组成的相对贡献随时间而降低,而屏幕时间在年轻男孩和女孩以及年长女孩中增加。与其余行为(即屏幕时间和 MVPA)相比,增加睡眠时间与所有亚组的较低抑郁症状相关。与其余行为(即 MVPA 和睡眠时间)相比,增加屏幕时间与所有亚组的较高抑郁症状相关。与其余行为(即屏幕时间和睡眠时间)相比,仅年长女孩中增加 MVPA 与较低的抑郁症状相关。等时替代估计表明,每天减少 60 分钟的屏幕时间并用 60 分钟的额外睡眠时间代替与所有亚组的抑郁症状变化最大。

结论

这项前瞻性分析的结果表明,增加睡眠时间和减少屏幕时间是青少年较低抑郁症状的重要决定因素。

https://cdn.ncbi.nlm.nih.gov/pmc/blobs/8eda/8409652/8a6847c3fd28/pone.0256867.g001.jpg

文献AI研究员

20分钟写一篇综述,助力文献阅读效率提升50倍。

立即体验

用中文搜PubMed

大模型驱动的PubMed中文搜索引擎

马上搜索

文档翻译

学术文献翻译模型,支持多种主流文档格式。

立即体验