Suppr超能文献

将免疫细胞因子与活化自然杀伤细胞联合作为增强针对 GD2 小鼠神经母细胞瘤移植物抗肿瘤效应的平台。

Combining Immunocytokine and Activated NK Cells as a Platform for Enhancing Graft-Versus-Tumor Effects Against GD2 Murine Neuroblastoma.

机构信息

Department of Pediatrics, University of Wisconsin School of Medicine and Public Health, Madison, WI, United States.

Department of Human Oncology, University of Wisconsin School of Medicine and Public Health, Madison, WI, United States.

出版信息

Front Immunol. 2021 Aug 19;12:668307. doi: 10.3389/fimmu.2021.668307. eCollection 2021.

Abstract

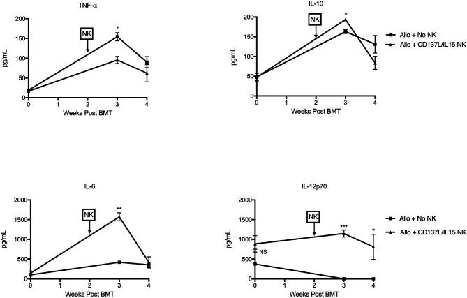
Management for high-risk neuroblastoma (NBL) has included autologous hematopoietic stem cell transplant (HSCT) and anti-GD2 immunotherapy, but survival remains around 50%. The aim of this study was to determine if allogeneic HSCT could serve as a platform for inducing a graft-versus-tumor (GVT) effect against NBL with combination immunocytokine and NK cells in a murine model. Lethally irradiated C57BL/6 (B6) x A/J recipients were transplanted with B6 bone marrow on Day +0. On day +10, allogeneic HSCT recipients were challenged with NXS2, a GD2 NBL. On days +14-16, mice were treated with the anti-GD2 immunocytokine hu14.18-IL2. In select groups, hu14.18-IL2 was combined with infusions of B6 NK cells activated with IL-15/IL-15Rα and CD137L . Allogeneic HSCT alone was insufficient to control NXS2 tumor growth, but the addition of hu14.18-IL2 controlled tumor growth and improved survival. Adoptive transfer of CD137L/IL-15/IL-15Rα activated NK cells with or without hu14.18-IL2 exacerbated lethality. CD137L/IL-15/IL-15Rα activated NK cells showed enhanced cytotoxicity and produced high levels of TNF-α , but induced cytokine release syndrome (CRS) . Infusing Perforin CD137L/IL-15/IL-15Rα activated NK cells had no impact on GVT, whereas TNF-α CD137L/IL-15/IL-15Rα activated NK cells improved GVT by decreasing peripheral effector cell subsets while preserving tumor-infiltrating lymphocytes. Depletion of Ly49H NK cells also improved GVT. Using allogeneic HSCT for NBL is a viable platform for immunocytokines and activated NK cell infusions, but must be balanced with induction of CRS. Regulation of TNFα or activating NK subsets may be needed to improve GVT effects.

摘要

高危神经母细胞瘤(NBL)的治疗包括自体造血干细胞移植(HSCT)和抗 GD2 免疫疗法,但存活率仍约为 50%。本研究旨在确定异体 HSCT 是否可以作为平台,通过在小鼠模型中联合免疫细胞因子和 NK 细胞来诱导针对 NBL 的移植物抗肿瘤(GVT)效应。致死性照射的 C57BL/6(B6)x A/J 受者在第 0 天接受 B6 骨髓移植。第 10 天,异体 HSCT 受者接受 NXS2(GD2 NBL)挑战。第 14-16 天,用抗 GD2 免疫细胞因子 hu14.18-IL2 治疗小鼠。在选择的组中,hu14.18-IL2 与用 IL-15/IL-15Rα 和 CD137L 激活的 B6 NK 细胞输注联合使用。单独进行异体 HSCT 不足以控制 NXS2 肿瘤生长,但添加 hu14.18-IL2 可控制肿瘤生长并提高存活率。单独输注 CD137L/IL-15/IL-15Rα 激活的 NK 细胞或不添加 hu14.18-IL2 会加重死亡率。CD137L/IL-15/IL-15Rα 激活的 NK 细胞显示出增强的细胞毒性并产生高水平的 TNF-α,但诱导细胞因子释放综合征(CRS)。输注 Perforin CD137L/IL-15/IL-15Rα 激活的 NK 细胞对 GVT 没有影响,而 TNF-α CD137L/IL-15/IL-15Rα 激活的 NK 细胞通过减少外周效应细胞亚群而保留肿瘤浸润淋巴细胞来改善 GVT。Ly49H NK 细胞耗竭也改善了 GVT。使用异体 HSCT 治疗 NBL 是一种可行的免疫细胞因子和激活 NK 细胞输注平台,但必须与 CRS 的诱导相平衡。调节 TNFα 或激活的 NK 细胞亚群可能有助于改善 GVT 效应。

https://cdn.ncbi.nlm.nih.gov/pmc/blobs/2093/8417312/5565758c3617/fimmu-12-668307-g001.jpg

文献AI研究员

20分钟写一篇综述,助力文献阅读效率提升50倍。

立即体验

用中文搜PubMed

大模型驱动的PubMed中文搜索引擎

马上搜索

文档翻译

学术文献翻译模型,支持多种主流文档格式。

立即体验