Suppr超能文献

构建和分析一个新的与铁死亡相关的基因签名,预测肺腺癌的预后。

Construction and analysis of a novel ferroptosis-related gene signature predicting prognosis in lung adenocarcinoma.

机构信息

Tianjin Medical University Cancer Institute & Hospital, National Clinical Research Center for Cancer, Tianjin, China.

Key Laboratory of Cancer Prevention and Therapy, Tianjin, China.

出版信息

FEBS Open Bio. 2021 Nov;11(11):3005-3018. doi: 10.1002/2211-5463.13288. Epub 2021 Oct 16.

Abstract

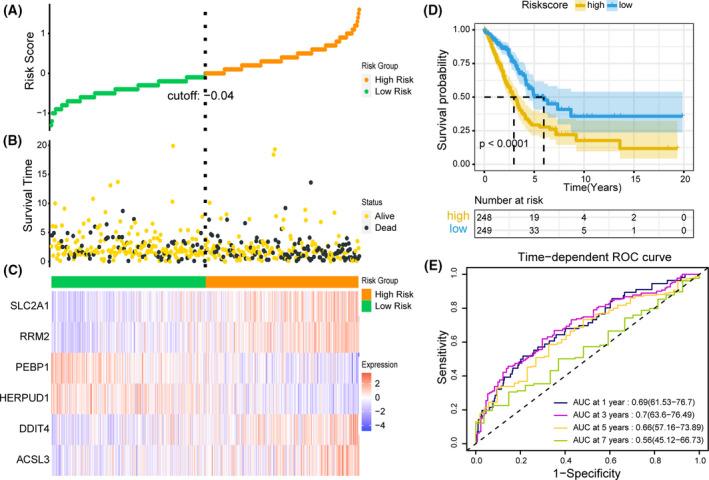
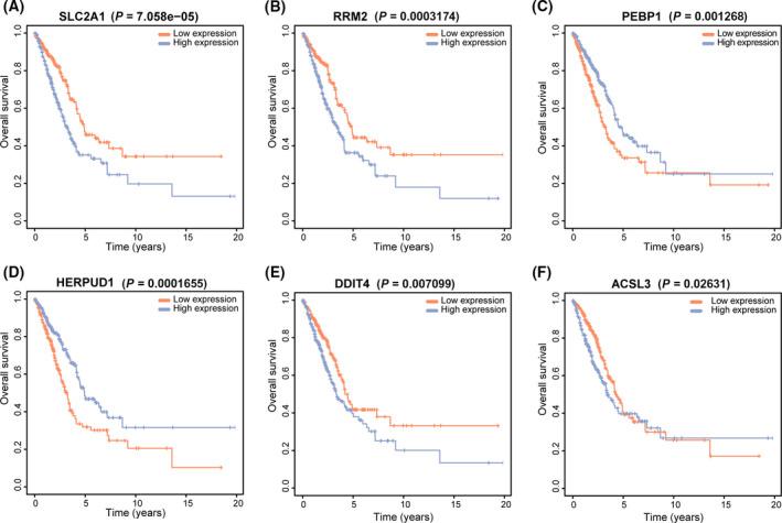
Ferroptosis is a newly discovered, iron-dependent, nonapoptotic form of programmed cell death that plays an important role in the development of lung adenocarcinoma (LUAD). In this study, ferroptosis-related genes (FRGs) were identified from the FerrDb dataset, and the mRNA expression profiles and corresponding clinical data of LUAD patients were downloaded from the University of California, Santa Cruz (UCSC) databases. Data from LUAD patients from the Gene Expression Omnibus (GEO) dataset were used as the verification set. Cox and Lasso regression analyses were used to screen the FRGs with prognostic value, and six prognostic-related FRGs were selected to construct prognostic risk score signatures. Immunohistochemistry was utilized to manifest the differential expression of six FRGs in tumor and normal tissues at the protein level. Functional enrichment analysis indicated that FRGs were mainly enriched in ferroptosis-related pathways. Patients were divided into high- and low-risk groups based on the median risk score. The Kaplan-Meier survival curves confirmed that patients with a high score had significantly worse overall survival. Receiver operating characteristic (ROC) curves proved that the prognostic signature has good sensitivity and specificity for predicting the prognosis of LUAD patients. Nomogram analysis showed that the prognostic signature has potential independent prognostic value. Moreover, the prognostic signature has been shown to be significantly associated with some clinical features (T stage, N stage, tumor stage, and survival status) as well as many immune-activity-related genes and immune-checkpoint-related genes. In conclusion, we constructed a prognostic signature consisting of six FGRs, which can provide a reference for predicting the prognosis of LUAD patients.

摘要

铁死亡是一种新发现的、依赖铁的、非细胞凋亡程序性细胞死亡形式,在肺腺癌 (LUAD) 的发生发展中发挥着重要作用。本研究从 FerrDb 数据库中鉴定了铁死亡相关基因 (FRGs),并从加利福尼亚大学圣克鲁兹分校 (UCSC) 数据库下载了 LUAD 患者的 mRNA 表达谱和相应的临床数据。来自基因表达综合数据库 (GEO) 的 LUAD 患者的数据被用作验证集。Cox 和 Lasso 回归分析用于筛选具有预后价值的 FRGs,选择六个与预后相关的 FRGs 构建预后风险评分特征。免疫组织化学用于在蛋白质水平上显示六个 FRGs 在肿瘤和正常组织中的差异表达。功能富集分析表明,FRGs 主要富集在铁死亡相关途径中。根据中位数风险评分将患者分为高风险组和低风险组。Kaplan-Meier 生存曲线证实,高评分患者的总生存率显著降低。受试者工作特征 (ROC) 曲线证明了该预后标志物在预测 LUAD 患者预后方面具有良好的敏感性和特异性。列线图分析表明,该预后标志物具有潜在的独立预后价值。此外,该预后标志物与一些临床特征(T 分期、N 分期、肿瘤分期和生存状态)以及许多免疫活性相关基因和免疫检查点相关基因显著相关。总之,我们构建了一个由六个 FRGs 组成的预后标志物,可为预测 LUAD 患者的预后提供参考。

https://cdn.ncbi.nlm.nih.gov/pmc/blobs/b72c/8564102/c751b26e3024/FEB4-11-3005-g008.jpg

文献AI研究员

20分钟写一篇综述,助力文献阅读效率提升50倍。

立即体验

用中文搜PubMed

大模型驱动的PubMed中文搜索引擎

马上搜索

文档翻译

学术文献翻译模型,支持多种主流文档格式。

立即体验