Suppr超能文献

鉴定七个新型铁死亡相关长非编码 RNA 特征作为急性髓系白血病的诊断生物标志物。

Identification of seven novel ferroptosis-related long non-coding RNA signatures as a diagnostic biomarker for acute myeloid leukemia.

机构信息

Medical Technology and Engineering College of Fujian Medical University, Fuzhou, 350001, Fujian, China.

Medical Technology Experimental Teaching Center of Fujian Medical University, Fuzhou, 350001, Fujian, China.

出版信息

BMC Med Genomics. 2021 Sep 27;14(1):236. doi: 10.1186/s12920-021-01085-9.

Abstract

BACKGROUND

Ferroptosis is a newly discovered type of programmed cell death that participates in the biological processes of various cancers. However, the mechanism by which ferroptosis modulates acute myeloid leukemia (AML) remains unclear. This study aimed to investigate the role of ferroptosis-related long non-coding RNAs (lncRNAs) in AML and establish a corresponding prognostic model.

METHODS

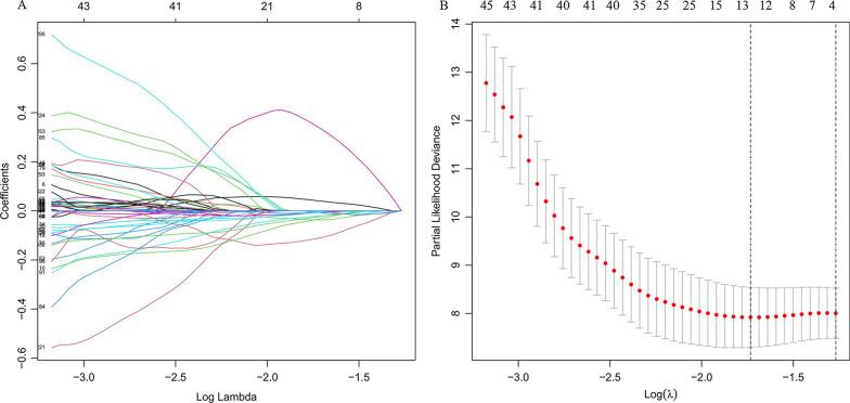
RNA-sequencing data and clinicopathological characteristics were obtained from The Cancer Genome Atlas database, and ferroptosis-related genes were obtained from the FerrDb database. The "limma" R package, Cox regression, and the least absolute shrinkage and selection operator were used to determine the ferroptosis-related lncRNA signature with the lowest Akaike information criteria (AIC). The risk score of ferroptosis-related lncRNAs was calculated and patients with AML were divided into high- and low-risk groups based on the median risk score. The Kaplan-Meier curve and Cox regression were used to evaluate the prognostic value of the risk score. Finally, gene set enrichment analysis (GSEA) and single-sample gene set enrichment analysis (ssGSEA) were performed to explore the biological functions of the ferroptosis-related lncRNAs.

RESULTS

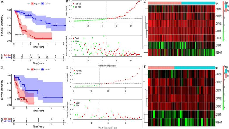
Seven ferroptosis-related lncRNA signatures were identified in the training group, and Kaplan-Meier and Cox regression analyses confirmed that risk scores were independent prognostic predictors of AML in both the training and validation groups (All P < 0.05). In addition, the area under the curve (AUC) analysis confirmed that the signatures had a good predictive ability for the prognosis of AML. GSEA and ssGSEA showed that the seven ferroptosis-related lncRNAs were related to glutathione metabolism and tumor immunity.

CONCLUSIONS

In this study, seven novel ferroptosis-related lncRNA signatures (AP001266.2, AC133961.1, AF064858.3, AC007383.2, AC008906.1, AC026771.1, and KIF26B-AS1) were established. These signatures were shown to accurately predict the prognosis of AML, which would provide new insights into strategies for the development of new AML therapies.

摘要

背景

铁死亡是一种新发现的细胞程序性死亡方式,参与多种癌症的生物学过程。然而,铁死亡调节急性髓系白血病(AML)的机制尚不清楚。本研究旨在探讨铁死亡相关长链非编码 RNA(lncRNA)在 AML 中的作用,并建立相应的预后模型。

方法

从癌症基因组图谱(TCGA)数据库中获取 RNA 测序数据和临床病理特征,并从 FerrDb 数据库中获取铁死亡相关基因。使用“limma”R 包、Cox 回归和最小绝对收缩和选择算子(LASSO)确定具有最低 Akaike 信息准则(AIC)的铁死亡相关 lncRNA 特征。计算铁死亡相关 lncRNA 的风险评分,并根据中位数风险评分将 AML 患者分为高风险组和低风险组。使用 Kaplan-Meier 曲线和 Cox 回归评估风险评分的预后价值。最后,进行基因集富集分析(GSEA)和单样本基因集富集分析(ssGSEA),以探讨铁死亡相关 lncRNA 的生物学功能。

结果

在训练组中确定了 7 个铁死亡相关 lncRNA 特征,Kaplan-Meier 和 Cox 回归分析证实,风险评分是训练组和验证组 AML 的独立预后预测因子(均 P<0.05)。此外,曲线下面积(AUC)分析证实,该特征对 AML 预后具有良好的预测能力。GSEA 和 ssGSEA 显示,这 7 个铁死亡相关 lncRNA 与谷胱甘肽代谢和肿瘤免疫有关。

结论

本研究建立了 7 个新的铁死亡相关 lncRNA 特征(AP001266.2、AC133961.1、AF064858.3、AC007383.2、AC008906.1、AC026771.1 和 KIF26B-AS1),可准确预测 AML 的预后,为开发新的 AML 治疗策略提供新的见解。

https://cdn.ncbi.nlm.nih.gov/pmc/blobs/f371/8474743/d646afdba48f/12920_2021_1085_Fig1_HTML.jpg

文献AI研究员

20分钟写一篇综述,助力文献阅读效率提升50倍。

立即体验

用中文搜PubMed

大模型驱动的PubMed中文搜索引擎

马上搜索

文档翻译

学术文献翻译模型,支持多种主流文档格式。

立即体验