Suppr超能文献

髋关节和膝关节假体周围感染清创、抗生素骨水泥间隔物植入术的模块化组件交换与结果:一项系统评价和Meta回归分析

Modular component exchange and outcome of DAIR for hip and knee periprosthetic joint infection : a systematic review and meta-regression analysis.

作者信息

Gerritsen Maxime, Khawar Abdullah, Scheper Henk, van der Wal Robert, Schoones Jan, de Boer Mark, Nelissen Rob, Pijls Bart

机构信息

Dept. of Orthopaedic Surgery, Leiden University Medical Center, Leiden, the Netherlands.

Dept of Infectious Disease, Leiden University Medical Center, Leiden, the Netherlands.

出版信息

Bone Jt Open. 2021 Oct;2(10):806-812. doi: 10.1302/2633-1462.210.BJO-2021-0090.R1.

Abstract

AIMS

The aim of this meta-analysis is to assess the association between exchange of modular parts in debridement, antibiotics, and implant retention (DAIR) procedure and outcomes for hip and knee periprosthetic joint infection (PJI).

METHODS

We conducted a systematic search on PubMed, Embase, Web of Science, and Cochrane library from inception until May 2021. Random effects meta-analyses and meta-regression was used to estimate, on a study level, the success rate of DAIR related to component exchange. Risk of bias was appraised using the (AQUILA) checklist.

RESULTS

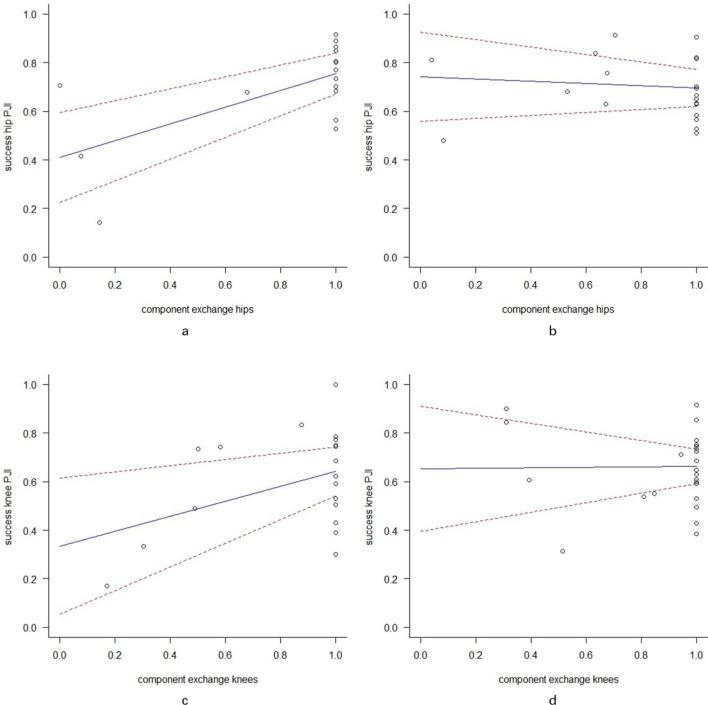
We included 65 studies comprising 6,630 patients. The pooled overall success after DAIR for PJI was 67% (95% confidence interval (CI) 63% to 70%). This was 70% (95% CI 65% to 75%) for DAIR for hip PJI and 63% (95% CI 58% to 69%) for knee PJI. In studies before 2004 (n = 27), our meta-regression analysis showed a 3.5% increase in success rates for each 10% increase in component exchange in DAIR for hip PJI and a 3.1% increase for each 10% increase in component exchange for knee PJI. When restricted to studies after 2004 (n = 37), this association changed: for DAIR for hip PJI a decrease in successful outcome by 0.5% for each 10% increase in component exchange and for DAIR for knee PJI this was a 0.01% increase in successful outcome for each 10% increase in component exchange.

CONCLUSION

This systematic review and meta-regression found no benefit of modular component exchange on reduction of PJI failure. This limited effect should be weighed against the risks for the patient and cost on a case-by-case basis. The association between exchange of modular components and outcome changed before and after 2004. This suggests the effect seen after 2004 may reflect a more rigorous, evidence-based, approach to the infected implant compared to the years before. Level III Cite this article:  2021;2(10):806-812.

摘要

目的

本荟萃分析旨在评估清创、抗生素及植入物保留(DAIR)手术中模块化部件更换与髋膝关节假体周围感染(PJI)结局之间的关联。

方法

我们对PubMed、Embase、Web of Science和Cochrane图书馆进行了从数据库建立至2021年5月的系统检索。采用随机效应荟萃分析和荟萃回归,在研究层面估计与部件更换相关的DAIR成功率。使用(AQUILA)清单评估偏倚风险。

结果

我们纳入了65项研究,共6630例患者。DAIR治疗PJI后的总体合并成功率为67%(95%置信区间(CI)63%至70%)。其中,DAIR治疗髋部PJI的成功率为70%(95%CI 65%至75%),治疗膝部PJI的成功率为63%(95%CI 58%至69%)。在2004年之前的研究(n = 27)中,我们的荟萃回归分析显示,对于髋部PJI,DAIR中部件更换每增加10%,成功率增加3.5%;对于膝部PJI,部件更换每增加10%,成功率增加3.1%。当仅限于2004年之后的研究(n = 37)时,这种关联发生了变化:对于髋部PJI的DAIR,部件更换每增加10%,成功结局降低0.5%;对于膝部PJI的DAIR,部件更换每增加10%,成功结局增加0.01%。

结论

本系统评价和荟萃回归发现模块化部件更换对降低PJI失败率无益处。应根据具体情况权衡这种有限的效果与患者风险及成本。2004年前后模块化部件更换与结局之间的关联发生了变化。这表明与之前几年相比,2004年之后观察到的效果可能反映了对感染植入物采用了更严格、基于证据的方法。 三级 引用本文:2021;2(10):806 - 812。

https://cdn.ncbi.nlm.nih.gov/pmc/blobs/eff6/8558449/80eb37269f2e/BJO-2-806-g0001.jpg

文献AI研究员

20分钟写一篇综述,助力文献阅读效率提升50倍。

立即体验

用中文搜PubMed

大模型驱动的PubMed中文搜索引擎

马上搜索

文档翻译

学术文献翻译模型,支持多种主流文档格式。

立即体验