Suppr超能文献

印度一项多中心、前瞻性队列研究:在印度女孩中,接种一剂、两剂和三剂四价 HPV 疫苗 10 年后,对持续性人乳头瘤病毒(HPV)16/18 感染的疫苗效力。

Vaccine efficacy against persistent human papillomavirus (HPV) 16/18 infection at 10 years after one, two, and three doses of quadrivalent HPV vaccine in girls in India: a multicentre, prospective, cohort study.

机构信息

Early Detection, Prevention and Infections Branch, International Agency for Research on Cancer, Lyon, France.

Tata Memorial Centre Rural Cancer Project, Nargis Dutt Memorial Cancer Hospital, Barshi District Solapur, Maharashtra, India.

出版信息

Lancet Oncol. 2021 Nov;22(11):1518-1529. doi: 10.1016/S1470-2045(21)00453-8. Epub 2021 Oct 8.

Abstract

BACKGROUND

A randomised trial designed to compare three and two doses of quadrivalent human papillomavirus (HPV) vaccine in adolescent girls in India was converted to a cohort study after suspension of HPV vaccination in trials by the Indian Government. In this Article, the revised aim of the cohort study was to compare vaccine efficacy of single dose to that of three and two doses in protecting against persistent HPV 16 and 18 infection at 10 years post vaccination.

METHODS

In the randomised trial, unmarried girls aged 10-18 years were recruited from nine centres across India and randomly assigned to either two doses or three doses of the quadrivalent HPV vaccine (Gardasil [Merck Sharp & Dohme, Whitehouse Station, NJ, USA]; 0·5 mL administered intramuscularly). After suspension of recruitment and vaccination, the study became a longitudinal, prospective cohort study by default, and participants were allocated to four cohorts on the basis of the number vaccine doses received per protocol: the two-dose cohort (received vaccine on days 1 and 180 or later), three-dose cohort (days 1, 60, and 180 or later), two-dose default cohort (days 1 and 60 or later), and the single-dose default cohort. Participants were followed up yearly. Cervical specimens were collected from participants 18 months after marriage or 6 months after first childbirth, whichever was earlier, to assess incident and persistent HPV infections. Married participants were screened for cervical cancer as they reached 25 years of age. Unvaccinated women age-matched to the married vaccinated participants were recruited to serve as controls. Vaccine efficacy against persistent HPV 16 and 18 infections (the primary endpoint) was analysed for single-dose recipients and compared with that in two-dose and three-dose recipients after adjusting for imbalance in the distribution of potential confounders between the unvaccinated and vaccinated cohorts. This trial is registered with ISRCTN, ISRCTN98283094, and ClinicalTrials.gov, NCT00923702.

FINDINGS

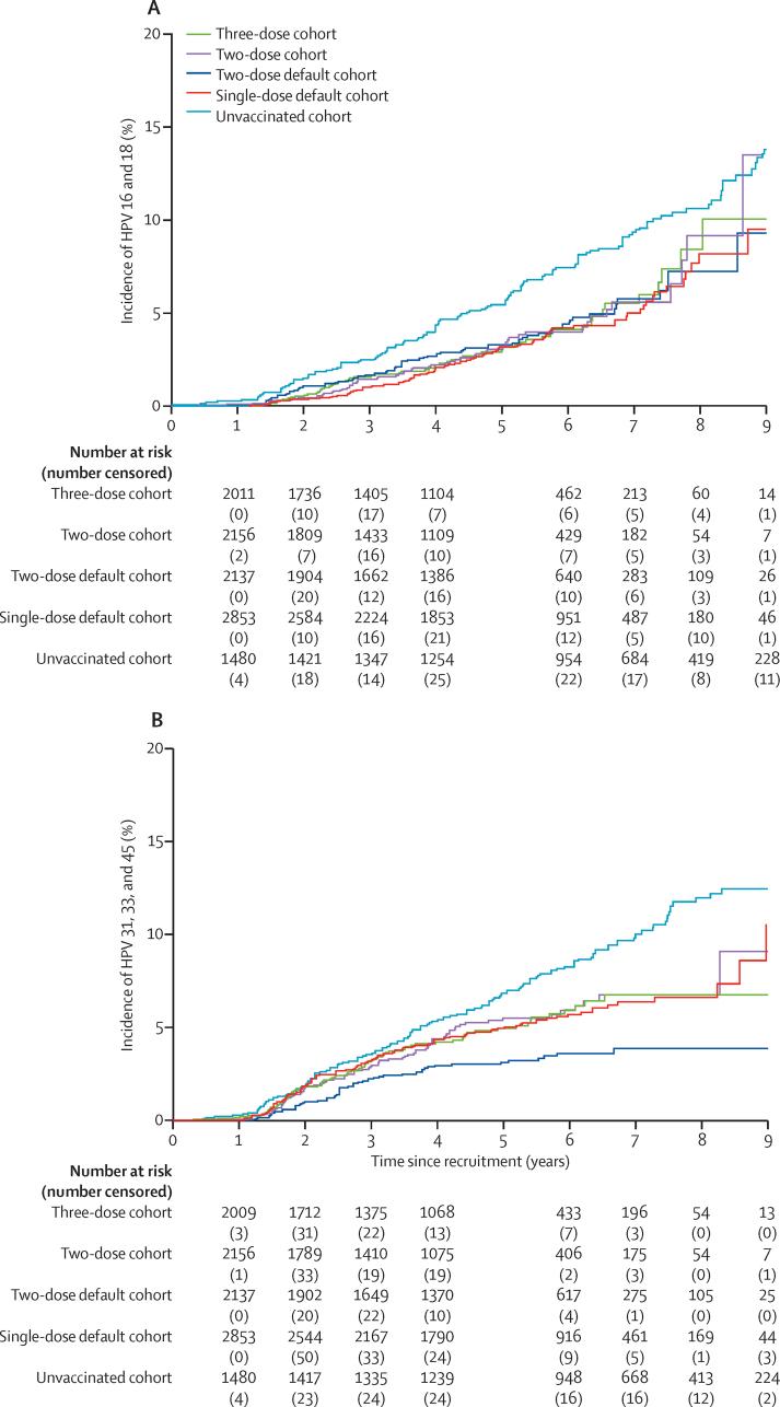
Vaccinated participants were recruited between Sept 1, 2009, and April 8, 2010 (date of vaccination suspension), and followed up over a median duration of 9·0 years (IQR 8·2-9·6). 4348 participants had three doses, 4980 had two doses (0 and 6 months), and 4949 had a single dose. Vaccine efficacy against persistent HPV 16 and 18 infection among participants evaluable for the endpoint was 95·4% (95% CI 85·0-99·9) in the single-dose default cohort (2135 women assessed), 93·1% (77·3-99·8) in the two-dose cohort (1452 women assessed), and 93·3% (77·5-99·7) in three-dose recipients (1460 women assessed).

INTERPRETATION

A single dose of HPV vaccine provides similar protection against persistent infection from HPV 16 and 18, the genotypes responsible for nearly 70% of cervical cancers, to that provided by two or three doses.

FUNDING

Bill & Melinda Gates Foundation.

摘要

背景

本研究旨在比较印度青少年接种三剂和两剂四价人乳头瘤病毒(HPV)疫苗的效果,该随机试验在印度政府暂停 HPV 疫苗接种后转换为队列研究。在这篇文章中,队列研究的修订目标是比较单剂和三剂或两剂疫苗预防 HPV16 和 18 型持续性感染的效果,随访时间为接种后 10 年。

方法

在随机试验中,从印度的 9 个中心招募了年龄在 10-18 岁的未婚女孩,并随机分配到四价 HPV 疫苗(加德西 [默克 Sharp & Dohme,新泽西州怀特豪斯站];0.5 毫升肌内注射)的两剂或三剂方案。在招募和接种暂停后,该研究默认成为一项纵向、前瞻性队列研究,参与者根据方案中每剂疫苗的接种次数分为四组:两剂组(第 1 天和第 180 天或之后接种)、三剂组(第 1、60 和 180 天或之后接种)、两剂默认组(第 1 和 60 天或之后接种)和单剂默认组。参与者每年接受一次随访。在婚姻后 18 个月或首次分娩后 6 个月(以较早者为准),从参与者那里采集宫颈标本,以评估 HPV 感染的新发和持续性。达到 25 岁的已婚参与者接受宫颈癌筛查。招募未接种疫苗且年龄与已婚接种参与者相匹配的女性作为对照组。对单剂疫苗接种者的 HPV16 和 18 型持续性感染的疫苗效果(主要终点)进行分析,并在调整未接种疫苗组和接种疫苗组之间潜在混杂因素分布的不平衡后,与两剂和三剂疫苗接种者的效果进行比较。该试验在 ISRCTN、ISRCTN98283094 和 ClinicalTrials.gov 注册,NCT00923702。

结果

接种疫苗的参与者于 2009 年 9 月 1 日至 2010 年 4 月 8 日(接种暂停日期)招募,并随访中位数为 9.0 年(IQR 8.2-9.6)。4348 名参与者接种了三剂,4980 名参与者接种了两剂(0 剂和 6 个月),4949 名参与者接种了一剂。在可评估终点的参与者中,单剂默认组 HPV16 和 18 型持续性感染的疫苗效果为 95.4%(95%CI 85.0-99.9)(2135 名女性评估),两剂组为 93.1%(77.3-99.8)(1452 名女性评估),三剂组为 93.3%(77.5-99.7)(1460 名女性评估)。

结论

HPV 疫苗单剂接种预防 HPV16 和 18 型持续性感染的效果与两剂或三剂接种相似,HPV16 和 18 型是导致近 70%宫颈癌的基因型。

资助

比尔及梅琳达·盖茨基金会。

https://cdn.ncbi.nlm.nih.gov/pmc/blobs/2eb4/8560643/320d7c90de3d/gr1.jpg

文献AI研究员

20分钟写一篇综述,助力文献阅读效率提升50倍。

立即体验

用中文搜PubMed

大模型驱动的PubMed中文搜索引擎

马上搜索

文档翻译

学术文献翻译模型,支持多种主流文档格式。

立即体验