Suppr超能文献

基于治疗后肿瘤标本的通路特征可预测抗 PD-1 阻断治疗转移性黑色素瘤的疗效。

Pathway signatures derived from on-treatment tumor specimens predict response to anti-PD1 blockade in metastatic melanoma.

机构信息

Department of Computer Science, Ying Wu College of Computing, New Jersey Institute of Technology, Newark, NJ, 07102, USA.

Department of Thoracic Surgery, West China Hospital, Sichuan University, 610041, Chengdu, Sichuan, China.

出版信息

Nat Commun. 2021 Oct 15;12(1):6023. doi: 10.1038/s41467-021-26299-4.

Abstract

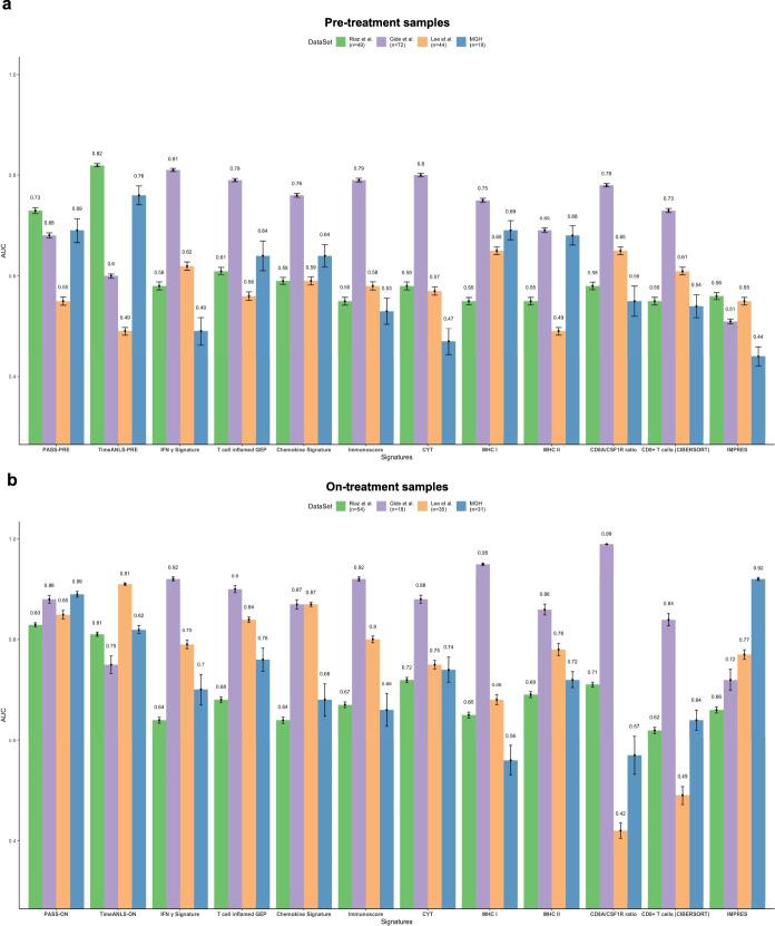
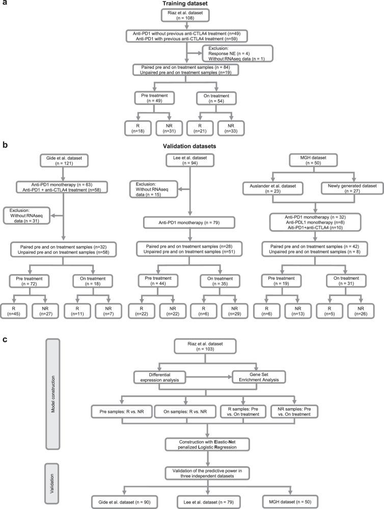
Both genomic and transcriptomic signatures have been developed to predict responses of metastatic melanoma to immune checkpoint blockade (ICB) therapies; however, most of these signatures are derived from pre-treatment biopsy samples. Here, we build pathway-based super signatures in pre-treatment (PASS-PRE) and on-treatment (PASS-ON) tumor specimens based on transcriptomic data and clinical information from a large dataset of metastatic melanoma treated with anti-PD1-based therapies as the training set. Both PASS-PRE and PASS-ON signatures are validated in three independent datasets of metastatic melanoma as the validation set, achieving area under the curve (AUC) values of 0.45-0.69 and 0.85-0.89, respectively. We also combine all test samples and obtain AUCs of 0.65 and 0.88 for PASS-PRE and PASS-ON signatures, respectively. When compared with existing signatures, the PASS-ON signature demonstrates more robust and superior predictive performance across all four datasets. Overall, we provide a framework for building pathway-based signatures that is highly and accurately predictive of response to anti-PD1 therapies based on on-treatment tumor specimens. This work would provide a rationale for applying pathway-based signatures derived from on-treatment tumor samples to predict patients' therapeutic response to ICB therapies.

摘要

基于基因组和转录组特征已被开发用于预测转移性黑色素瘤对免疫检查点阻断 (ICB) 治疗的反应;然而,大多数这些特征都来自于治疗前的活检样本。在这里,我们根据大型转移性黑色素瘤数据集的转录组数据和接受抗 PD1 治疗的患者的临床信息,在治疗前 (PASS-PRE) 和治疗中 (PASS-ON) 的肿瘤标本中构建基于途径的超级特征作为训练集。PASS-PRE 和 PASS-ON 特征均在三个转移性黑色素瘤的独立数据集作为验证集进行验证,在验证集中分别获得 0.45-0.69 和 0.85-0.89 的曲线下面积 (AUC) 值。我们还将所有测试样本合并,分别得到 PASS-PRE 和 PASS-ON 特征的 AUC 为 0.65 和 0.88。与现有特征相比,PASS-ON 特征在所有四个数据集均表现出更稳健和优越的预测性能。总体而言,我们提供了一个基于途径的特征构建框架,该框架可高度准确地预测基于治疗中肿瘤标本的抗 PD1 治疗反应。这项工作将为应用基于治疗中肿瘤样本的途径特征来预测患者对 ICB 治疗的治疗反应提供依据。

https://cdn.ncbi.nlm.nih.gov/pmc/blobs/2ba7/8519947/a12ebb3b2ec7/41467_2021_26299_Fig1_HTML.jpg

文献AI研究员

20分钟写一篇综述,助力文献阅读效率提升50倍。

立即体验

用中文搜PubMed

大模型驱动的PubMed中文搜索引擎

马上搜索

文档翻译

学术文献翻译模型,支持多种主流文档格式。

立即体验