Suppr超能文献

MG-132 对 SARS-CoV-2 主蛋白酶(Mpro/3CLpro)和人组织蛋白酶-L 的双重抑制作用的结构和生化分析。

Structural and Biochemical Analysis of the Dual Inhibition of MG-132 against SARS-CoV-2 Main Protease (Mpro/3CLpro) and Human Cathepsin-L.

机构信息

Elettra-Sincrotrone Trieste, 34149 Trieste, Italy.

Fraunhofer Institute for Translational Medicine and Pharmacology (ITMP), 22525 Hamburg, Germany.

出版信息

Int J Mol Sci. 2021 Oct 29;22(21):11779. doi: 10.3390/ijms222111779.

Abstract

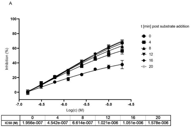
After almost two years from its first evidence, the COVID-19 pandemic continues to afflict people worldwide, highlighting the need for multiple antiviral strategies. SARS-CoV-2 main protease (Mpro/3CLpro) is a recognized promising target for the development of effective drugs. Because single target inhibition might not be sufficient to block SARS-CoV-2 infection and replication, multi enzymatic-based therapies may provide a better strategy. Here we present a structural and biochemical characterization of the binding mode of MG-132 to both the main protease of SARS-CoV-2, and to the human Cathepsin-L, suggesting thus an interesting scaffold for the development of double-inhibitors. X-ray diffraction data show that MG-132 well fits into the Mpro active site, forming a covalent bond with Cys145 independently from reducing agents and crystallization conditions. Docking of MG-132 into Cathepsin-L well-matches with a covalent binding to the catalytic cysteine. Accordingly, MG-132 inhibits Cathepsin-L with nanomolar potency and reversibly inhibits Mpro with micromolar potency, but with a prolonged residency time. We compared the apo and MG-132-inhibited structures of Mpro solved in different space groups and we identified a new apo structure that features several similarities with the inhibited ones, offering interesting perspectives for future drug design and in silico efforts.

摘要

在首次发现新冠病毒近两年后,该病毒仍在全球范围内肆虐,凸显出需要采取多种抗病毒策略。SARS-CoV-2 主要蛋白酶(Mpro/3CLpro)是开发有效药物的公认有前途的靶标。由于单一靶标抑制可能不足以阻止 SARS-CoV-2 的感染和复制,基于多酶的治疗方法可能提供更好的策略。在这里,我们对 MG-132 与 SARS-CoV-2 主蛋白酶和人组织蛋白酶 L 的结合模式进行了结构和生化表征,这表明它是开发双重抑制剂的有趣支架。X 射线衍射数据表明,MG-132 很好地适合 Mpro 的活性部位,与半胱氨酸 145 形成共价键,与还原剂和结晶条件无关。MG-132 对接进入组织蛋白酶 L 与催化半胱氨酸的共价结合非常匹配。因此,MG-132 以纳摩尔效力抑制组织蛋白酶 L,以微摩尔效力可逆抑制 Mpro,但驻留时间延长。我们比较了在不同空间群中解决的 apo 和 MG-132 抑制的 Mpro 结构,并且鉴定了具有与抑制结构相似的 apo 结构,为未来的药物设计和计算机研究提供了有趣的前景。

https://cdn.ncbi.nlm.nih.gov/pmc/blobs/08ea/8583849/6e5933ff193f/ijms-22-11779-g001.jpg

文献AI研究员

20分钟写一篇综述,助力文献阅读效率提升50倍。

立即体验

用中文搜PubMed

大模型驱动的PubMed中文搜索引擎

马上搜索

文档翻译

学术文献翻译模型,支持多种主流文档格式。

立即体验