Suppr超能文献

实验和理论 DFT 研究在炔丙基/烯丙基-氧代-吡唑啉酮的[2,3]-Wittig 重排中的应用。

Experimental and Theoretical DFT Investigations in the [2,3]-Wittig-Type Rearrangement of Propargyl/Allyl-Oxy-Pyrazolones.

机构信息

Department of Biomolecular Sciences, Section of Organic Chemistry and Organic Natural Compounds, University of Urbino "Carlo Bo", Via I Maggetti 24, 61029 Urbino, PU, Italy.

Department of Chemistry and Industrial Chemistry, University of Pisa, Via G. Moruzzi 13, 56124 Pisa, PI, Italy.

出版信息

Molecules. 2021 Oct 29;26(21):6557. doi: 10.3390/molecules26216557.

Abstract

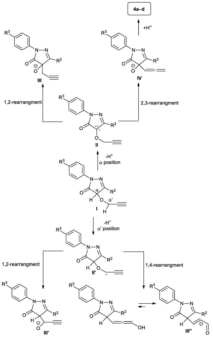
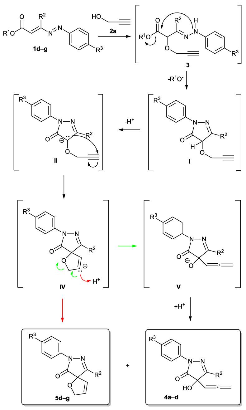
Here we report the synthesis of interesting 3-alkyl-4-hydroxy-1-aryl-4-(propa-1,2-dienyl)1-pyrazol-5(4)-ones and 9-alkyl-7-aryl-1-oxa-7,8-diazaspiro[4.4]nona-3,8-dien-6-ones, starting from 1,2-diaza-1,3-dienes (DDs) and propargyl alcohol. The reaction proceeds through a sequence Michael-type nucleophilic attack/cyclization/[2,3]-Wittig rearrangement. In the same way, the reaction between the aforementioned DDs and allyl alcohol furnished 4-allyl-4-hydroxy-3-alkyl-1-aryl-1-pyrazol-5(4)-ones. A DFT study was also carried out, in order to have decisive clarifications about the mechanism.

摘要

在这里,我们报告了有趣的 3-烷基-4-羟基-1-芳基-4-(1,2-丙二烯基)-1-吡唑-5(4)-酮和 9-烷基-7-芳基-1-氧杂-7,8-二氮杂螺[4.4]壬-3,8-二烯-6-酮的合成,其起始原料为 1,2-二氮杂-1,3-二烯(DDs)和丙炔醇。该反应通过迈克尔型亲核进攻/环化/[2,3]-维蒂希重排的序列进行。同样,上述 DDs 与烯丙醇的反应得到了 4-烯丙基-4-羟基-3-烷基-1-芳基-1-吡唑-5(4)-酮。还进行了 DFT 研究,以便对反应机制有明确的解释。

https://cdn.ncbi.nlm.nih.gov/pmc/blobs/5f83/8587800/d28e42c987e0/molecules-26-06557-sch001.jpg

文献AI研究员

20分钟写一篇综述,助力文献阅读效率提升50倍。

立即体验

用中文搜PubMed

大模型驱动的PubMed中文搜索引擎

马上搜索

文档翻译

学术文献翻译模型,支持多种主流文档格式。

立即体验