Suppr超能文献

列线图预测血液透析(HD)患者 1、5、10 年生存率:单中心回顾性研究。

Nomogram for predicting 1-, 5-, and 10-year survival in hemodialysis (HD) patients: a single center retrospective study.

机构信息

Department of Nephrology, The Second Affiliated Hospital of Soochow University, Suzhou, China.

Department of Cardiology, The Second Affiliated Hospital of Soochow University, Suzhou, China.

出版信息

Ren Fail. 2021 Dec;43(1):1508-1519. doi: 10.1080/0886022X.2021.1997762.

Abstract

OBJECTIVES

Risk of death is high for hemodialysis (HD) patients but it varies considerably among individuals. There is few clinical tool to predict long-term survival rates for HD patients yet. The aim of this study was to develop and validate a easy-to-use nomogram for prediction of 1-, 5-, and 10-year survival among HD patients.

METHODS

This study retrospectively enrolled 643 adult HD patients who was randomly assigned to two cohorts: the training cohort ( = 438) and validation cohort ( = 205), univariate survival analyses were performed using Kaplan-Meier's curve with log-rank test and multivariate Cox regression analyses were performed to identify predictive factors, and a easy-to-use nomogram was established. The performance was assessed using the area under the curve (AUC), calibration plots, and decision curve analysis.

RESULTS

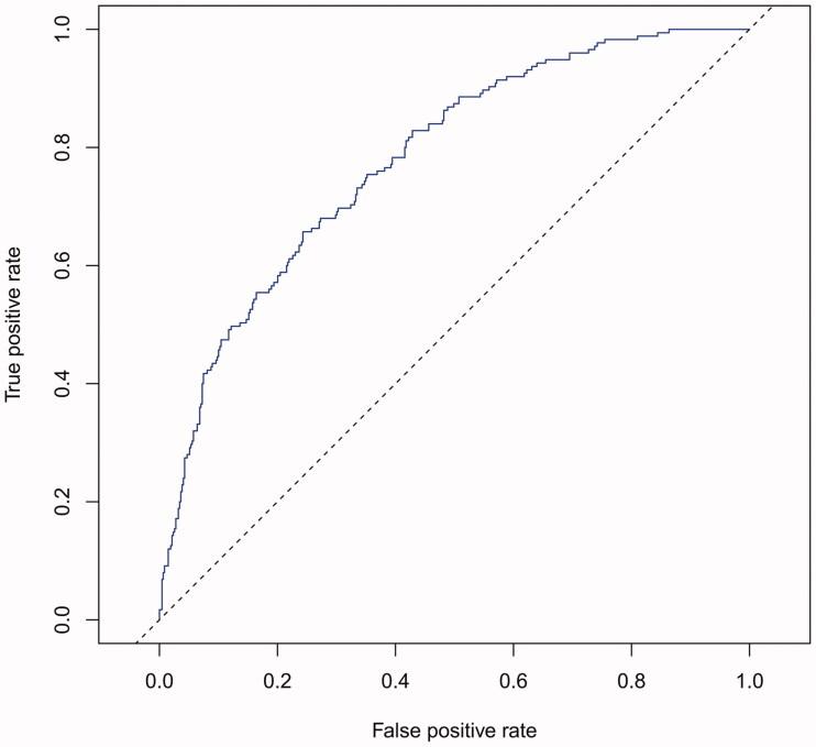
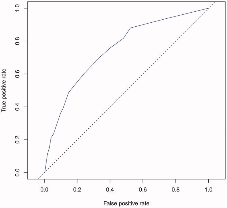
The score included seven commonly available predictors: age, diabetes, use of arteriovenous fistula (AVF), history of emergency temporary dialysis catheter placement, cardiovascular disease (CVD), hemoglobin (Hgl), and no caregiver. The score revealed good discrimination in the training and validation cohort (AUC 0.779 and 0.758, respectively) and the calibration plots showed well calibration, indicating suitable performance of the nomogram model. Decision curve analysis showed that the nomogram added more net benefit compared with the treat-all strategy or treat-none strategy with a threshold probability of 10% or greater.

CONCLUSIONS

This easy-to-use nomogram can accurately predict 1-, 5-, and 10-year survival for HD patients, which could be used in clinical decision-making and clinical care.

摘要

目的

血液透析(HD)患者的死亡风险很高,但个体之间差异很大。目前还没有临床工具可以预测 HD 患者的长期生存率。本研究旨在开发和验证一种简单易用的列线图,以预测 HD 患者的 1 年、5 年和 10 年生存率。

方法

本研究回顾性纳入了 643 名成年 HD 患者,将其随机分为两个队列:训练队列(n=438)和验证队列(n=205)。采用 Kaplan-Meier 曲线和对数秩检验进行单因素生存分析,采用多因素 Cox 回归分析确定预测因素,并建立简单易用的列线图。采用曲线下面积(AUC)、校准图和决策曲线分析评估模型性能。

结果

该评分包括 7 个常见的预测因素:年龄、糖尿病、使用动静脉瘘(AVF)、紧急临时透析导管放置史、心血管疾病(CVD)、血红蛋白(Hgl)和无照顾者。评分在训练和验证队列中均具有良好的区分度(AUC 分别为 0.779 和 0.758),校准图显示校准良好,表明该列线图模型具有良好的性能。决策曲线分析表明,与全治疗策略或无治疗策略相比,该列线图在阈值概率为 10%或更高时,能带来更多的净获益。

结论

这种简单易用的列线图可以准确预测 HD 患者的 1 年、5 年和 10 年生存率,可用于临床决策和临床护理。

https://cdn.ncbi.nlm.nih.gov/pmc/blobs/016a/8604490/058892cc2239/IRNF_A_1997762_F0001_B.jpg

文献AI研究员

20分钟写一篇综述,助力文献阅读效率提升50倍。

立即体验

用中文搜PubMed

大模型驱动的PubMed中文搜索引擎

马上搜索

文档翻译

学术文献翻译模型,支持多种主流文档格式。

立即体验