Suppr超能文献

胡椒堿类似物可阻滞 c-myc 基因,从而下调转录,达到靶向癌症的目的。

Piperine analogs arrest c-myc gene leading to downregulation of transcription for targeting cancer.

机构信息

Department of Biosciences and Biomedical Engineering, Indian Institute of Technology Indore, Simrol, Indore, Madhya Pradesh, 453552, India.

出版信息

Sci Rep. 2021 Nov 25;11(1):22909. doi: 10.1038/s41598-021-01529-3.

Abstract

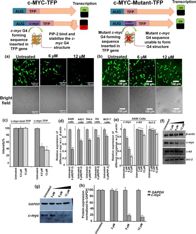
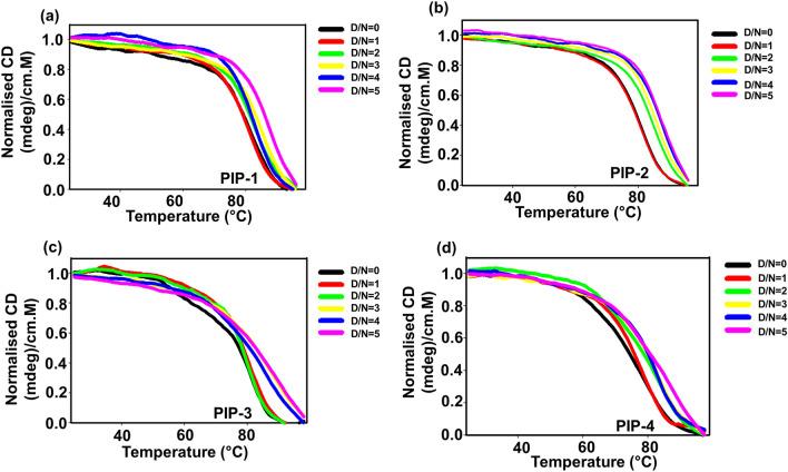
G-quadruplex (G4) structures are considered a promising therapeutic target in cancer. Since Ayurveda, Piperine has been known for its medicinal properties. Piperine shows anticancer properties by stabilizing the G4 motif present upstream of the c-myc gene. This gene belongs to a group of proto-oncogenes, and its aberrant transcription drives tumorigenesis. The transcriptional regulation of the c-myc gene is an interesting approach for anticancer drug design. The present study employed a chemical similarity approach to identify Piperine similar compounds and analyzed their interaction with cancer-associated G-quadruplex motifs. Among all Piperine analogs, PIP-2 exhibited strong selectivity, specificity, and affinity towards c-myc G4 DNA as elaborated through biophysical studies such as fluorescence emission, isothermal calorimetry, and circular dichroism. Moreover, our biophysical observations are supported by molecular dynamics analysis and cellular-based studies. Our study showed that PIP-2 showed higher toxicity against the A549 lung cancer cell line but lower toxicity towards normal HEK 293 cells, indicating increased efficacy of the drug at the cellular level. Biological evaluation assays such as TFP reporter assay, quantitative real-time PCR (qRT- PCR), and western blotting suggest that the Piperine analog-2 (PIP-2) stabilizes the G-quadruplex motif located at the promoter site of c-myc oncogene and downregulates its expression. In conclusion, Piperine analog PIP-2 may be used as anticancer therapeutics as it affects the c-myc oncogene expression via G-quadruplex mediated mechanism.

摘要

G-四链体 (G4) 结构被认为是癌症治疗的一个有前途的靶点。自古以来,胡椒碱就因其药用特性而为人所知。胡椒碱通过稳定存在于 c-myc 基因上游的 G4 基序表现出抗癌特性。该基因属于一组原癌基因,其异常转录驱动肿瘤发生。c-myc 基因的转录调控是一种有趣的抗癌药物设计方法。本研究采用化学相似性方法来鉴定胡椒碱类似物,并分析它们与癌症相关的 G-四链体基序的相互作用。在所有胡椒碱类似物中,PIP-2 通过荧光发射、等温量热法和圆二色性等生物物理研究表现出对 c-myc G4 DNA 的强选择性、特异性和亲和力。此外,我们的生物物理观察结果得到了分子动力学分析和基于细胞的研究的支持。我们的研究表明,PIP-2 对 A549 肺癌细胞系表现出更高的毒性,但对正常 HEK 293 细胞的毒性较低,这表明药物在细胞水平上的疗效更高。TFP 报告基因测定、实时定量 PCR (qRT-PCR) 和 Western blot 等生物学评估测定表明,胡椒碱类似物-2 (PIP-2) 稳定位于 c-myc 癌基因启动子位点的 G-四链体基序,并下调其表达。总之,胡椒碱类似物 PIP-2 可作为抗癌治疗药物,因为它通过 G-四链体介导的机制影响 c-myc 癌基因的表达。

https://cdn.ncbi.nlm.nih.gov/pmc/blobs/8907/8617303/976075b6a020/41598_2021_1529_Fig1_HTML.jpg

文献AI研究员

20分钟写一篇综述,助力文献阅读效率提升50倍。

立即体验

用中文搜PubMed

大模型驱动的PubMed中文搜索引擎

马上搜索

文档翻译

学术文献翻译模型,支持多种主流文档格式。

立即体验