Suppr超能文献

协同折叠蛋白质中肽键溶剂可及性增加的起源。

Origin of Increased Solvent Accessibility of Peptide Bonds in Mutual Synergetic Folding Proteins.

机构信息

Institute of Enzymology, Research Centre for Natural Sciences, Eötvös Loránd Research Network, 1117 Budapest, Hungary.

Department of Physiology, Faculty of Medicine, Semmelweis University, 1094 Budapest, Hungary.

出版信息

Int J Mol Sci. 2021 Dec 14;22(24):13404. doi: 10.3390/ijms222413404.

Abstract

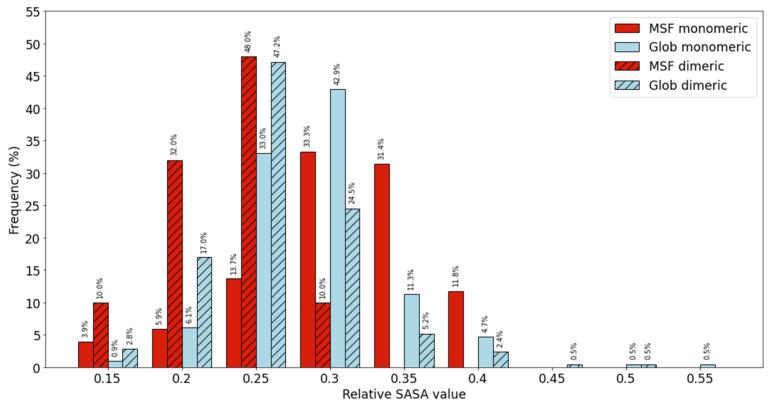
Mutual Synergetic Folding (MSF) proteins belong to a recently discovered class of proteins. These proteins are disordered in their monomeric but ordered in their oligomeric forms. Their amino acid composition is more similar to globular proteins than to disordered ones. Our preceding work shed light on important structural aspects of the structural organization of these proteins, but the background of this behavior is still unknown. We suggest that solvent accessibility is an important factor, especially solvent accessibility of the peptide bonds can be accounted for this phenomenon. The side chains of the amino acids which form a peptide bond have a high local contribution to the shielding of the peptide bond from the solvent. During the oligomerization step, other non-local residues contribute to the shielding. We investigated these local and non-local effects of shielding based on Shannon information entropy calculations. We found that MSF and globular homodimeric proteins have different local contributions resulting from different amino acid pair frequencies. Their non-local distribution is also different because of distinctive inter-subunit contacts.

摘要

相互协同折叠 (MSF) 蛋白属于最近发现的一类蛋白。这些蛋白在单体形式下无规则,而在寡聚体形式下有序。它们的氨基酸组成与球状蛋白更相似,而不是无规则蛋白。我们之前的工作揭示了这些蛋白结构组织的重要结构方面,但这种行为的背景仍然未知。我们提出溶剂可及性是一个重要因素,特别是肽键的溶剂可及性可以解释这种现象。形成肽键的氨基酸侧链对肽键的屏蔽具有很高的局部贡献,防止其与溶剂接触。在寡聚化步骤中,其他非局部残基也有助于屏蔽。我们基于香农信息熵计算研究了这些局部和非局部的屏蔽效应。我们发现 MSF 和球状同源二聚体蛋白具有不同的局部贡献,这是由于不同的氨基酸对频率造成的。它们的非局部分布也不同,因为独特的亚基间接触。

https://cdn.ncbi.nlm.nih.gov/pmc/blobs/7f6d/8704591/3a3591ea0039/ijms-22-13404-g001.jpg

文献AI研究员

20分钟写一篇综述,助力文献阅读效率提升50倍。

立即体验

用中文搜PubMed

大模型驱动的PubMed中文搜索引擎

马上搜索

文档翻译

学术文献翻译模型,支持多种主流文档格式。

立即体验