Suppr超能文献

微生物组差异丰度方法在 38 个数据集上产生了不同的结果。

Microbiome differential abundance methods produce different results across 38 datasets.

机构信息

Department of Microbiology and Immunology, Dalhousie University, Halifax, NS, Canada.

Department of Mathematics and Statistics, Dalhousie University, Halifax, NS, Canada.

出版信息

Nat Commun. 2022 Jan 17;13(1):342. doi: 10.1038/s41467-022-28034-z.

Abstract

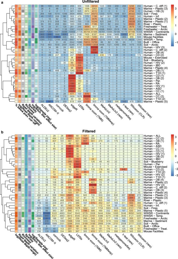
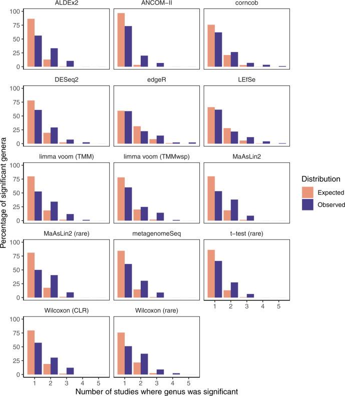
Identifying differentially abundant microbes is a common goal of microbiome studies. Multiple methods are used interchangeably for this purpose in the literature. Yet, there are few large-scale studies systematically exploring the appropriateness of using these tools interchangeably, and the scale and significance of the differences between them. Here, we compare the performance of 14 differential abundance testing methods on 38 16S rRNA gene datasets with two sample groups. We test for differences in amplicon sequence variants and operational taxonomic units (ASVs) between these groups. Our findings confirm that these tools identified drastically different numbers and sets of significant ASVs, and that results depend on data pre-processing. For many tools the number of features identified correlate with aspects of the data, such as sample size, sequencing depth, and effect size of community differences. ALDEx2 and ANCOM-II produce the most consistent results across studies and agree best with the intersect of results from different approaches. Nevertheless, we recommend that researchers should use a consensus approach based on multiple differential abundance methods to help ensure robust biological interpretations.

摘要

鉴定差异丰度的微生物是微生物组研究的共同目标。在文献中,多种方法可互换用于此目的。然而,很少有大规模的研究系统地探索了这些工具互换使用的适当性,以及它们之间差异的规模和意义。在这里,我们比较了 14 种差异丰度检测方法在 38 个 16S rRNA 基因数据集和两个样本组上的性能。我们测试了这些组之间的扩增子序列变体和操作分类单元(ASVs)的差异。我们的研究结果证实,这些工具鉴定了数量和显著 ASVs 的截然不同的数量和集合,并且结果取决于数据预处理。对于许多工具,鉴定的特征数量与数据的某些方面相关,例如样本量、测序深度和群落差异的效应大小。ALDEx2 和 ANCOM-II 在研究中产生了最一致的结果,并且与不同方法的结果交集最一致。然而,我们建议研究人员应使用基于多种差异丰度方法的共识方法,以帮助确保稳健的生物学解释。

https://cdn.ncbi.nlm.nih.gov/pmc/blobs/4a96/8763921/7b702023926b/41467_2022_28034_Fig1_HTML.jpg

文献AI研究员

20分钟写一篇综述,助力文献阅读效率提升50倍。

立即体验

用中文搜PubMed

大模型驱动的PubMed中文搜索引擎

马上搜索

文档翻译

学术文献翻译模型,支持多种主流文档格式。

立即体验