Suppr超能文献

里士满躁动-镇静量表在儿科重症监护患者中的有效性和可靠性:一项多中心研究。

Validity and Reliability of the Richmond Agitation-Sedation Scale in Pediatric Intensive Care Patients: A Multicenter Study.

作者信息

Tapia Rocío, López-Herce Jesús, Arias Ángel, Del Castillo Jimena, Mencía Santiago

机构信息

Pediatric Intensive Care Unit, Hospital Universitario Ramón y Cajal, Madrid, Spain.

Instituto Ramón y Cajal de Investigación Sanitaria ("IRYCIS"), Madrid, Spain.

出版信息

Front Pediatr. 2022 Jan 3;9:795487. doi: 10.3389/fped.2021.795487. eCollection 2021.

Abstract

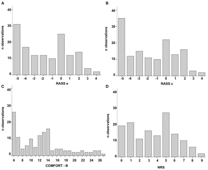
There is limited data about the psychometric properties of the Richmond Agitation-Sedation Scale (RASS) in children. This study aims to analyze the validity and reliability of the RASS in assessing sedation and agitation in critically ill children. A multicenter prospective study in children admitted to pediatric intensive care, aged between 1 month and 18 years. Twenty-eight observers from 14 PICUs (pediatric intensive care units) participated. Every observation was assessed by 4 observers: 2 nurses and 2 pediatric intensivists. We analyzed RASS inter-rater reliability, construct validity by comparing RASS to the COMFORT behavior (COMFORT-B) scale and the numeric rating scale (NRS), and by its ability to distinguish between levels of sedation, and responsiveness to changes in sedative dose levels. 139 episodes in 55 patients were analyzed, with a median age 3.6 years (interquartile range 0.7-7.8). Inter-rater reliability was excellent, weighted kappa (κ) 0.946 (95% CI, 0.93-0.96; < 0.001). RASS correlation with COMFORT-B scale, rho = 0.935 ( < 0.001) and NRS, rho = 0.958 ( < 0.001) was excellent. The RASS scores were significantly different ( < 0.001) for the 3 sedation categories (over-sedation, optimum and under-sedation) of the COMFORT-B scale, with a good agreement between both scales, κ 0.827 (95% CI, 0.789-0.865; < 0.001), κ 0.762 (95% CI, 0.713-0.811, < 0.001). A significant change in RASS scores ( < 0.001) was recorded with the variance of sedative doses. The RASS showed good measurement properties in PICU, in terms of inter-rater reliability, construct validity, and responsiveness. These properties, including its ability to categorize the patients into deep sedation, moderate-light sedation, and agitation, makes the RASS a useful instrument for monitoring sedation in PICU.

摘要

关于里士满躁动 - 镇静量表(RASS)在儿童中的心理测量学特性的数据有限。本研究旨在分析RASS在评估危重症儿童镇静和躁动方面的有效性和可靠性。对年龄在1个月至18岁之间入住儿科重症监护病房的儿童进行了一项多中心前瞻性研究。来自14个儿科重症监护病房(PICU)的28名观察者参与了研究。每次观察由4名观察者进行评估:2名护士和2名儿科重症监护医生。我们分析了RASS的评分者间信度,通过将RASS与舒适行为(COMFORT - B)量表和数字评分量表(NRS)进行比较来分析其结构效度,以及其区分镇静水平和对镇静剂量水平变化反应性的能力。对55例患者的139次发作进行了分析,中位年龄为3.6岁(四分位间距0.7 - 7.8)。评分者间信度极佳,加权kappa(κ)为0.946(95%CI,0.93 - 0.96;P < 0.001)。RASS与COMFORT - B量表的相关性,rho = 0.935(P < 0.001),与NRS的相关性,rho = 0.958(P < 0.001)极佳。COMFORT - B量表的3种镇静类别(过度镇静、最佳镇静和镇静不足)的RASS评分有显著差异(P < 0.001),两种量表之间有良好的一致性,κ为0.827(95%CI,0.789 - 0.865;P < 0.001),κ为0.762(95%CI,0.713 - 0.811,P < 0.001)。随着镇静剂量的变化,RASS评分有显著变化(P < 0.001)。RASS在PICU中在评分者间信度、结构效度和反应性方面显示出良好的测量特性。这些特性,包括其将患者分类为深度镇静、中度 - 轻度镇静和躁动的能力,使RASS成为PICU中监测镇静的有用工具。

https://cdn.ncbi.nlm.nih.gov/pmc/blobs/0060/8762108/78892c946d84/fped-09-795487-g0001.jpg

文献AI研究员

20分钟写一篇综述,助力文献阅读效率提升50倍。

立即体验

用中文搜PubMed

大模型驱动的PubMed中文搜索引擎

马上搜索

文档翻译

学术文献翻译模型,支持多种主流文档格式。

立即体验