Suppr超能文献

蜂毒素及其类似物的计算与体外结构-活性关系。

In Silico and In Vitro Structure-Activity Relationship of Mastoparan and Its Analogs.

机构信息

Protein and Proteomics Research Center for Commercial and Industrial Purposes (ProCCI), Khon Kaen University, Khon Kaen 40002, Thailand.

Division of Pharmacognosy and Toxicology, Faculty of Pharmaceutical Sciences, Khon Kaen University, Khon Kaen 40002, Thailand.

出版信息

Molecules. 2022 Jan 16;27(2):561. doi: 10.3390/molecules27020561.

Abstract

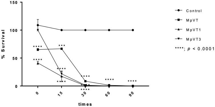
Antimicrobial peptides are an important class of therapeutic agent used against a wide range of pathogens such as Gram-negative and Gram-positive bacteria, fungi, and viruses. Mastoparan (MpVT) is an α-helix and amphipathic tetradecapeptide obtained from venom. This peptide exhibits antibacterial activity. In this work, we investigate the effect of amino acid substitutions and deletion of the first three C-terminal residues on the structure-activity relationship. In this in silico study, the predicted structure of MpVT and its analog have characteristic features of linear cationic peptides rich in hydrophobic and basic amino acids without disulfide bonds. The secondary structure and the biological activity of six designed analogs are studied. The biological activity assays show that the substitution of phenylalanine (MpVT1) results in a higher antibacterial activity than that of MpVT without increasing toxicity. The analogs with the first three deleted C-terminal residues showed decreased antibacterial and hemolytic activity. The CD (circular dichroism) spectra of these peptides show a high content α-helical conformation in the presence of 40% 2,2,2-trifluoroethanol (TFE). In conclusion, the first three C-terminal deletions reduced the length of the α-helix, explaining the decreased biological activity. MpVTs show that the hemolytic activity of mastoparan is correlated to mean hydrophobicity and mean hydrophobic moment. The position and spatial arrangement of specific hydrophobic residues on the non-polar face of α-helical AMPs may be crucial for the interaction of AMPs with cell membranes.

摘要

抗菌肽是一类重要的治疗剂,可用于对抗多种病原体,如革兰氏阴性和革兰氏阳性细菌、真菌和病毒。蜂毒素(MpVT)是一种从毒液中获得的α-螺旋和两亲性十四肽。这种肽具有抗菌活性。在这项工作中,我们研究了氨基酸取代和删除前三个 C 末端残基对结构-活性关系的影响。在这项计算机研究中,MpVT 及其类似物的预测结构具有特征,即富含疏水性和碱性氨基酸的线性阳离子肽,没有二硫键。研究了六个设计的类似物的二级结构和生物活性。生物活性测定表明,苯丙氨酸(MpVT1)的取代导致抗菌活性高于没有增加毒性的 MpVT。前三个 C 末端缺失的类似物显示出抗菌和溶血活性降低。这些肽的 CD(圆二色性)谱在存在 40%2,2,2-三氟乙醇(TFE)的情况下显示出高含量的α-螺旋构象。总之,前三个 C 末端的缺失减少了α-螺旋的长度,解释了生物活性的降低。MpVT 表明蜂毒素的溶血活性与平均疏水性和平均疏水力矩相关。α-螺旋 AMP 非极性面上特定疏水性残基的位置和空间排列可能对 AMP 与细胞膜的相互作用至关重要。

https://cdn.ncbi.nlm.nih.gov/pmc/blobs/bb6b/8779355/c246c8e79932/molecules-27-00561-g001.jpg

文献AI研究员

20分钟写一篇综述,助力文献阅读效率提升50倍。

立即体验

用中文搜PubMed

大模型驱动的PubMed中文搜索引擎

马上搜索

文档翻译

学术文献翻译模型,支持多种主流文档格式。

立即体验