Suppr超能文献

利用两波大流行期间的流行病学和病毒基因组数据描绘医院内 SARS-CoV-2 传播事件。

Characterising within-hospitalSARS-CoV-2 transmission events using epidemiological and viral genomic data across two pandemic waves.

机构信息

The Florey Institute for Host-Pathogen Interactions & Department of Infection, Immunity and Cardiovascular Disease, Medical School, University of Sheffield, Sheffield, UK.

Sheffield Teaching Hospitals NHS Foundation Trust, Sheffield, UK.

出版信息

Nat Commun. 2022 Feb 3;13(1):671. doi: 10.1038/s41467-022-28291-y.

Abstract

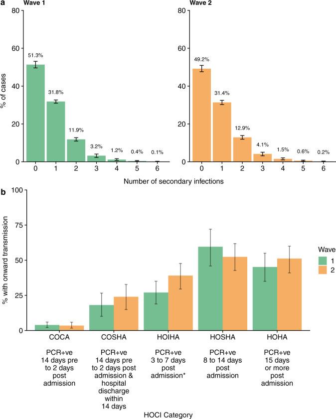
Hospital outbreaks of COVID19 result in considerable mortality and disruption to healthcare services and yet little is known about transmission within this setting. We characterise within hospital transmission by combining viral genomic and epidemiological data using Bayesian modelling amongst 2181 patients and healthcare workers from a large UK NHS Trust. Transmission events were compared between Wave 1 (1st March to 25th J'uly 2020) and Wave 2 (30th November 2020 to 24th January 2021). We show that staff-to-staff transmissions reduced from 31.6% to 12.9% of all infections. Patient-to-patient transmissions increased from 27.1% to 52.1%. 40%-50% of hospital-onset patient cases resulted in onward transmission compared to 4% of community-acquired cases. Control measures introduced during the pandemic likely reduced transmissions between healthcare workers but were insufficient to prevent increasing numbers of patient-to-patient transmissions. As hospital-acquired cases drive most onward transmission, earlier identification of nosocomial cases will be required to break hospital transmission chains.

摘要

医院内的 COVID19 疫情爆发导致了相当高的死亡率和医疗服务的中断,但对于这种环境下的传播途径却知之甚少。我们通过对英国国民保健制度信托基金的 2181 名患者和医护人员的病毒基因组和流行病学数据进行贝叶斯建模,来描述医院内的传播情况。我们比较了第 1 波(2020 年 3 月 1 日至 7 月 25 日)和第 2 波(2020 年 11 月 30 日至 2021 年 1 月 24 日)之间的传播事件。结果表明,医护人员之间的传播从所有感染的 31.6%降至 12.9%。患者之间的传播从 27.1%增加到 52.1%。40%-50%的医院发病患者病例导致了进一步的传播,而社区获得性病例只有 4%。大流行期间采取的控制措施可能减少了医护人员之间的传播,但不足以阻止越来越多的患者之间的传播。由于医院获得性病例是大多数传播的源头,因此需要更早地识别医院内的病例,以打破医院传播链。

https://cdn.ncbi.nlm.nih.gov/pmc/blobs/b17a/8814040/b7732abf2b87/41467_2022_28291_Fig1_HTML.jpg

文献AI研究员

20分钟写一篇综述,助力文献阅读效率提升50倍。

立即体验

用中文搜PubMed

大模型驱动的PubMed中文搜索引擎

马上搜索

文档翻译

学术文献翻译模型,支持多种主流文档格式。

立即体验