Suppr超能文献

绿茶多酚通过激活ERK1/2-NFE2L2-HMOX1通路减轻过氧化氢诱导的牛乳腺上皮细胞氧化应激、炎症和凋亡。

Green Tea Polyphenols Alleviate Hydrogen Peroxide-Induced Oxidative Stress, Inflammation, and Apoptosis in Bovine Mammary Epithelial Cells by Activating ERK1/2-NFE2L2-HMOX1 Pathways.

作者信息

Ma Yanfen, Ma Xuehu, An Yanhao, Sun Yishuo, Dou Wenli, Li Muyang, Bao Hua, Zhang Chunhua

机构信息

Ningxia Key Laboratory of Ruminant Molecular and Cellular Breeding, School of Agriculture, Ningxia University, Yinchuan, China.

College of Animal Science and Veterinary Medicine, Heilongjiang Bayi Agricultural University, Daqing, China.

出版信息

Front Vet Sci. 2022 Jan 25;8:804241. doi: 10.3389/fvets.2021.804241. eCollection 2021.

Abstract

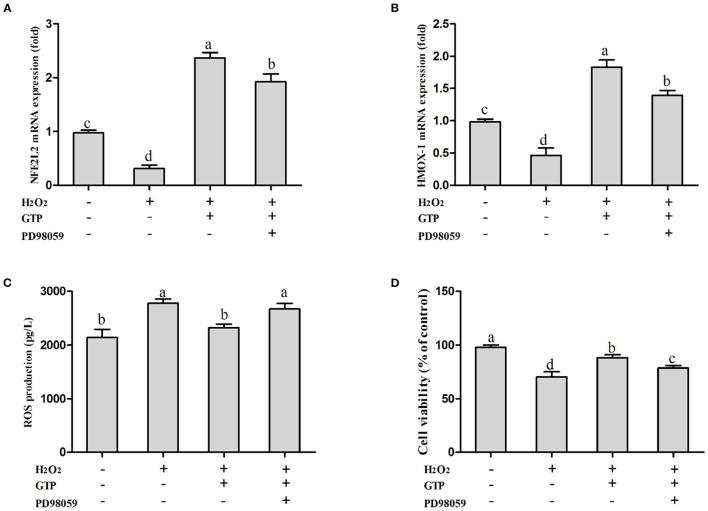
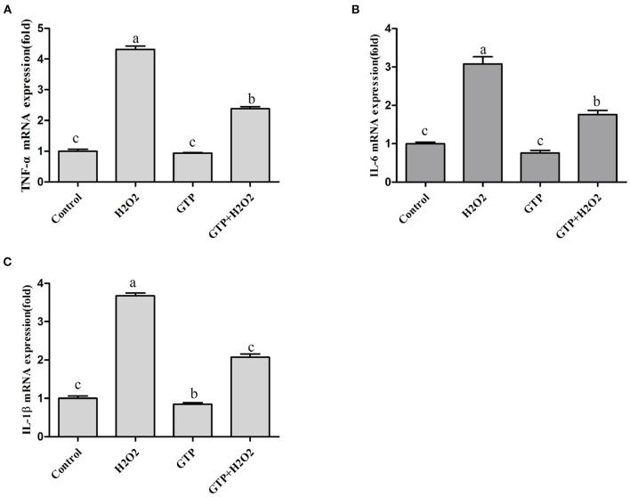
Oxidative stress (OS) is one of the main limiting factors affecting the length of lactation and milk quality in dairy cows. For high-producing dairy cows, the OS of mammary glands is a serious problem. Green tea polyphenols (GTP), found mainly in tea, are a combination of many phenols. GTP have a good effect on antioxidation, inflammation resistance, obesity, fat cell metabolism improvement, and lowering of blood lipid. Therefore, we studied the role of GTP on OS in dairy cows and further investigated whether GTP alleviates oxidative damage of bovine mammary epithelial cells (BMECs) induced by hydrogen peroxide (HO) and its underlying molecular mechanism. In this study, 500 μM of HO for 12 h incubation was chosen as the condition of the OS model of BMECs. In addition, the present results found that treatment with GTP alleviated the oxidative damage induced by HO [the activities of superoxide dismutase (SOD), glutathione peroxidase (GSH-Px), and catalase (CAT) were significantly increased, and the contents of malondialdehyde (MDA), 8-isoprostaglandin (8-iso-PG), 8-oxo-deoxyguanosine (8-OHdG), and protein carbonyl (PC) and caspase-3 and caspase-9 activities were significantly reduced]. These effects are related to the activation of the erythrocyte-derived nuclear factor 2-like protein 2 (NFE2L2) signaling pathway and the inactivation of the caspase/Bcl-2 apoptotic pathway. When NFE2L2 short interfering RNA (siRNA) was used to downregulate the expression of NFE2L2 in cultured BMECs, NFE2L2-siRNA transfection abolished the protective effect of GTP on HO-induced intracellular reactive oxygen species (ROS) accumulation and apoptosis. In addition, the mitogen-activated protein kinase (MAPK) inhibition test further proved that GTP relieved HO-induced oxidative damage by activating the NFE2L2 signaling pathway, which was achieved by activating the extracellular-regulated kinase 1/2 (ERK1/2) signaling pathway. Overall, the results indicate that GTP has a beneficial effect on the redox balance of BMECs. In addition, GTP might be a latent antioxidant , which can be administered to ruminants during stressful periods such as the perinatal period.

摘要

氧化应激(OS)是影响奶牛泌乳期长度和牛奶品质的主要限制因素之一。对于高产奶牛而言,乳腺的氧化应激是一个严重问题。绿茶多酚(GTP)主要存在于茶叶中,是多种酚类的组合。GTP在抗氧化、抗炎、抗肥胖、改善脂肪细胞代谢以及降低血脂方面具有良好效果。因此,我们研究了GTP在奶牛氧化应激中的作用,并进一步探究GTP是否能减轻过氧化氢(HO)诱导的牛乳腺上皮细胞(BMECs)氧化损伤及其潜在分子机制。在本研究中,选择500μM的HO孵育12小时作为BMECs氧化应激模型的条件。此外,目前的结果发现,GTP处理减轻了HO诱导的氧化损伤[超氧化物歧化酶(SOD)、谷胱甘肽过氧化物酶(GSH-Px)和过氧化氢酶(CAT)的活性显著增加,丙二醛(MDA)、8-异前列腺素(8-iso-PG)、8-氧代脱氧鸟苷(8-OHdG)、蛋白质羰基(PC)的含量以及半胱天冬酶-3和半胱天冬酶-9的活性显著降低]。这些作用与红细胞衍生核因子2样蛋白2(NFE2L2)信号通路的激活以及半胱天冬酶/Bcl-2凋亡通路的失活有关。当使用NFE2L2小干扰RNA(siRNA)下调培养的BMECs中NFE2L2的表达时,NFE2L2-siRNA转染消除了GTP对HO诱导的细胞内活性氧(ROS)积累和细胞凋亡的保护作用。此外,丝裂原活化蛋白激酶(MAPK)抑制试验进一步证明,GTP通过激活NFE2L2信号通路减轻HO诱导的氧化损伤,这是通过激活细胞外调节激酶1/2(ERK1/2)信号通路实现的。总体而言,结果表明GTP对BMECs的氧化还原平衡具有有益作用。此外,GTP可能是一种潜在的抗氧化剂,可在围产期等应激期给予反刍动物。

https://cdn.ncbi.nlm.nih.gov/pmc/blobs/0664/8821889/b8a5d92160b0/fvets-08-804241-g0001.jpg

文献AI研究员

20分钟写一篇综述,助力文献阅读效率提升50倍。

立即体验

用中文搜PubMed

大模型驱动的PubMed中文搜索引擎

马上搜索

文档翻译

学术文献翻译模型,支持多种主流文档格式。

立即体验