Suppr超能文献

间质基质细胞的细胞外基质合成和重塑具有上下文敏感性。

Extracellular Matrix Synthesis and Remodeling by Mesenchymal Stromal Cells Is Context-Sensitive.

机构信息

Equine Clinic (Surgery, Orthopedics), Justus-Liebig-University Giessen, 35392 Giessen, Germany.

Institute for Cell and Tissue Culture Technologies, Department of Biotechnology, University of Natural Resources and Life Sciences (BOKU), 1190 Vienna, Austria.

出版信息

Int J Mol Sci. 2022 Feb 3;23(3):1758. doi: 10.3390/ijms23031758.

Abstract

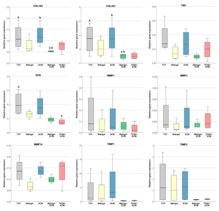
Matrix remodeling could be an important mode of action of multipotent mesenchymal stromal cells (MSC) in extracellular matrix (ECM) disease, but knowledge is limited in this respect. As MSC are well-known to adapt their behavior to their environment, we aimed to investigate if their mode of action would change in response to healthy versus pathologically altered ECM. Human MSC-derived ECM was produced under different culture conditions, including standard culture, culture on Matrigel-coated dishes, and stimulation with the pro-fibrotic transforming growth factor-β1 (TGFβ1). The MSC-ECM was decellularized, characterized by histochemistry, and used as MSC culture substrate reflecting different ECM conditions. MSC were cultured on the different ECM substrates or in control conditions for 2 days. Culture on ECM increased the presence of surface molecules with ECM receptor function in the MSC, demonstrating an interaction between MSC and ECM. In MSC cultured on Matrigel-ECM and TGFβ1-ECM, which displayed a fibrosis-like morphology, gene expression of collagens and decorin, as well as total matrix metalloproteinase (MMP) activity in the supernatant were decreased as compared with control conditions. These results demonstrated that MSC adapt to their ECM environment, which may include pathological adaptations that could compromise therapeutic efficacy.

摘要

细胞外基质重塑可能是多能间充质基质细胞(MSC)在细胞外基质(ECM)疾病中发挥作用的一种重要方式,但这方面的知识有限。由于众所周知 MSC 会根据其环境改变其行为方式,我们旨在研究它们的作用方式是否会因健康和病理改变的 ECM 而发生变化。人 MSC 来源的 ECM 在不同的培养条件下产生,包括标准培养、在 Matrigel 包被的培养皿上培养和用促纤维化转化生长因子-β1(TGFβ1)刺激。MSC-ECM 去细胞化,通过组织化学进行表征,并用作反映不同 ECM 条件的 MSC 培养底物。MSC 在不同的 ECM 底物上或在对照条件下培养 2 天。在 ECM 上培养增加了 MSC 表面具有 ECM 受体功能的分子的存在,表明 MSC 与 ECM 之间存在相互作用。与对照条件相比,在 Matrigel-ECM 和 TGFβ1-ECM 上培养的 MSC 表现出纤维化样形态,细胞外基质中胶原蛋白和饰胶蛋白的基因表达以及上清液中总基质金属蛋白酶(MMP)活性降低。这些结果表明,MSC 适应其 ECM 环境,这可能包括可能影响治疗效果的病理性适应。

https://cdn.ncbi.nlm.nih.gov/pmc/blobs/f0d7/8836208/f32ae690a887/ijms-23-01758-g001.jpg

文献AI研究员

20分钟写一篇综述,助力文献阅读效率提升50倍。

立即体验

用中文搜PubMed

大模型驱动的PubMed中文搜索引擎

马上搜索

文档翻译

学术文献翻译模型,支持多种主流文档格式。

立即体验