Suppr超能文献

中年时期的血脂和血糖水平与阿尔茨海默病有关。

Midlife lipid and glucose levels are associated with Alzheimer's disease.

机构信息

Department of Medicine (Biomedical Genetics), Boston University School of Medicine, Boston, Massachusetts, USA.

Department of Biostatistics, Boston University School of Public Health, Boston, Massachusetts, USA.

出版信息

Alzheimers Dement. 2023 Jan;19(1):181-193. doi: 10.1002/alz.12641. Epub 2022 Mar 23.

Abstract

INTRODUCTION

It is unknown whether vascular and metabolic diseases assessed in early adulthood are associated with Alzheimer's disease (AD) later in life.

METHODS

Association of AD with lipid fractions, glucose, blood pressure, body mass index (BMI), and smoking obtained prospectively from 4932 Framingham Heart Study (FHS) participants across nine quadrennial examinations was evaluated using Cox proportional hazard and Kaplan-Meier models. Age-, sex-, and education-adjusted models were tested for each factor measured at each exam and within three adult age groups (early = 35-50, middle = 51-60, and late = 61-70).

RESULTS

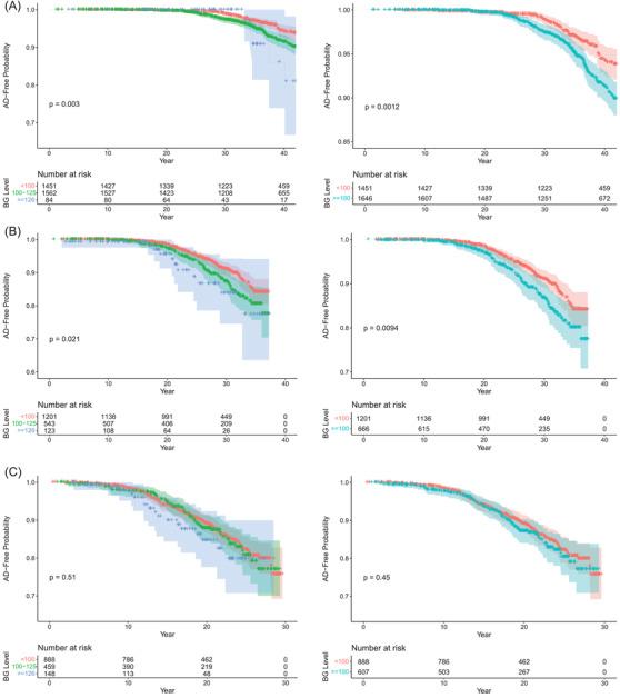
A 15 mg/dL increase in high density lipoprotein (HDL) cholesterol was associated with decreased AD risk during early (15.4%, P = 0.041) and middle (17.9%, P = 0.014) adulthood. A 15 mg/dL increase in glucose measured during middle adulthood was associated with 14.5% increased AD risk (P = 0.00029). These findings remained significant after adjusting for treatment.

DISCUSSION

Our findings suggest that careful management of cholesterol and glucose beginning in early adulthood can lower AD risk.

摘要

简介

目前尚不清楚在成年早期评估的血管和代谢疾病是否与日后的阿尔茨海默病(AD)有关。

方法

使用 Cox 比例风险和 Kaplan-Meier 模型评估前瞻性获得的来自 4932 名弗雷明汉心脏研究(FHS)参与者的 9 次 4 年一次的检查中的血脂分数、葡萄糖、血压、体重指数(BMI)和吸烟与 AD 的相关性。在每个检查中以及在三个成年年龄组(早期= 35-50 岁,中期= 51-60 岁,晚期= 61-70 岁)内,对每个因素进行了年龄、性别和教育调整的模型测试。

结果

高密度脂蛋白(HDL)胆固醇每增加 15mg/dL,在成年早期(15.4%,P=0.041)和中期(17.9%,P=0.014)发生 AD 的风险降低。在中年期间测量的葡萄糖每增加 15mg/dL,AD 风险增加 14.5%(P=0.00029)。这些发现经过治疗调整后仍然具有统计学意义。

讨论

我们的研究结果表明,从成年早期开始,仔细管理胆固醇和葡萄糖可以降低 AD 的风险。

https://cdn.ncbi.nlm.nih.gov/pmc/blobs/05c0/10078665/d2ed86950e36/ALZ-19-181-g001.jpg

文献AI研究员

20分钟写一篇综述,助力文献阅读效率提升50倍。

立即体验

用中文搜PubMed

大模型驱动的PubMed中文搜索引擎

马上搜索

文档翻译

学术文献翻译模型,支持多种主流文档格式。

立即体验