Suppr超能文献

无糖口香糖对口腔菌斑数量影响的系统评价与荟萃分析

A Systematic Review and Meta-Analysis of the Role of Sugar-Free Chewing Gum on Plaque Quantity in the Oral Cavity.

作者信息

Nasseripour Melanie, Newton Jonathon Timothy, Warburton Fiona, Awojobi Oluwatunmise, Di Giorgio Sonya, Gallagher Jennifer Elizabeth, Banerjee Avijit

机构信息

Centre for Dental Education, Faculty of Dentistry, Oral and Craniofacial Sciences, King's College London, Guy's Dental Hospital, London, United Kingdom.

Faculty of Dentistry, Oral and Craniofacial Sciences, King's College London, Guy's Dental Hospital, London, United Kingdom.

出版信息

Front Oral Health. 2022 Mar 30;3:845921. doi: 10.3389/froh.2022.845921. eCollection 2022.

Abstract

BACKGROUND

The aim of this systematic review of published literature was to answer the research question, "What is the difference in the level of plaque quantity, in adults and children who chew sugar-free gum (SFG), compared with those who do not chew SFG, who do not chew gum, or who use alternatives such as probiotics or fluoride varnish?".

METHODS

The systematic review [registered on PROSPERO 2018 (CRD42018094676)] included studies on adults and children with chewing of SFG as the main intervention, where "sugar" referred to monosaccharides and disaccharides. Included studies were in English and corresponded to primary research published between 1946 and 2020. The search conducted spanned all relevant databases using both Medical Subject Headings (MESH) and free text with combinations of "chewing gum," "sugar-free," "caries," "xerostomia," "periodontal disease."

RESULTS

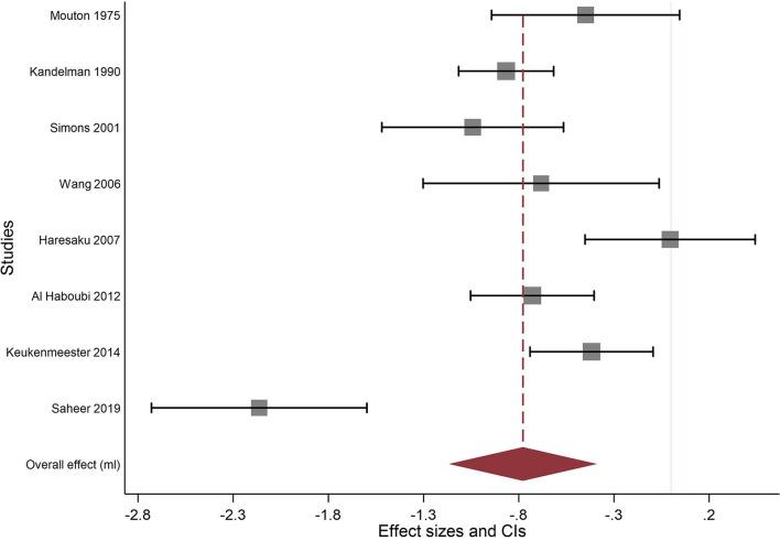
Eight articles included plaque quantity as part of their outcomes. Meta-analysis showed that SFG significantly reduced plaque quantity (effect size-0.778; 95% CI-1.167 to-0.39). The correlation between the baseline and the end of study data was assumed to be 0.95 for the control and 0.65 for the SFG group. A sensitivity analysis was conducted with the pre- to post-test correlation, set at 0.95 for the SFG group. This gave an effect size of-1.098 (95% CI-1.539 to-0.656) with = 89.73%. When looking more specifically at xylitol gum, the results of the meta-analysis showed that it significantly reduced plaque quantity (effect size-0.743; 95% CI-1.148 to-0.338). There was a high degree of heterogeneity between studies with = 86.0%.

CONCLUSION

There is some evidence that chewing sugar-free gum, in particular xylitol SFG, reduces the quantity of plaque in the oral cavity in comparison to non SFG chewing or no chewing controls. Further research with improved design, lengthier timeframes and higher number of participants should be considered.

SYSTEMATIC REVIEW REGISTRATION

https://www.crd.york.ac.uk/PROSPERO/display_record.php?RecordID=94676.

摘要

背景

本系统综述已发表文献的目的是回答研究问题:“与不咀嚼无糖口香糖(SFG)、不咀嚼口香糖或使用益生菌或氟化物清漆等替代品的成年人及儿童相比,咀嚼无糖口香糖的成年人及儿童的牙菌斑数量水平有何差异?”

方法

该系统综述[于2018年在国际前瞻性系统评价注册库(PROSPERO,注册号CRD42018094676)注册]纳入了以咀嚼SFG为主要干预措施的成人和儿童研究,其中“糖”指单糖和双糖。纳入的研究为英文,对应1946年至2020年间发表的原始研究。检索涵盖了所有相关数据库,使用医学主题词(MESH)和自由文本,并结合了“口香糖”“无糖”“龋齿”“口干症”“牙周病”等关键词。

结果

8篇文章将牙菌斑数量作为其研究结果的一部分。荟萃分析表明,无糖口香糖显著减少了牙菌斑数量(效应量为 -0.778;95%置信区间为 -1.167至 -0.39)。假设对照组基线数据与研究结束时数据的相关性为0.95,无糖口香糖组为0.65。对无糖口香糖组进行了敏感性分析,将前后测相关性设定为0.95。得出效应量为 -1.

https://cdn.ncbi.nlm.nih.gov/pmc/blobs/3655/9006880/9c387390a9ff/froh-03-845921-g0001.jpg

文献AI研究员

20分钟写一篇综述,助力文献阅读效率提升50倍。

立即体验

用中文搜PubMed

大模型驱动的PubMed中文搜索引擎

马上搜索

文档翻译

学术文献翻译模型,支持多种主流文档格式。

立即体验