Suppr超能文献

2-{5-[(,2)-2-氯-3-(4-硝基苯基)-2-丙烯基]-4-氧代-2-噻唑烷-3-基}-3-甲基丁酸作为一种有潜力的抗乳腺癌分子。

2-{5-[(,2)-2-Chloro-3-(4-nitrophenyl)-2-propenylidene]-4-oxo-2-thioxothiazolidin-3-yl}-3-methylbutanoic Acid as a Potential Anti-Breast Cancer Molecule.

机构信息

Department of Biotechnology, Faculty of Pharmacy, Medical University of Bialystok, 15-089 Bialystok, Poland.

Department of Biotechnology and Cell Biology, Medical College, University of Information Technology and Management in Rzeszow, Sucharskiego 2, 35-225 Rzeszow, Poland.

出版信息

Int J Mol Sci. 2022 Apr 7;23(8):4091. doi: 10.3390/ijms23084091.

Abstract

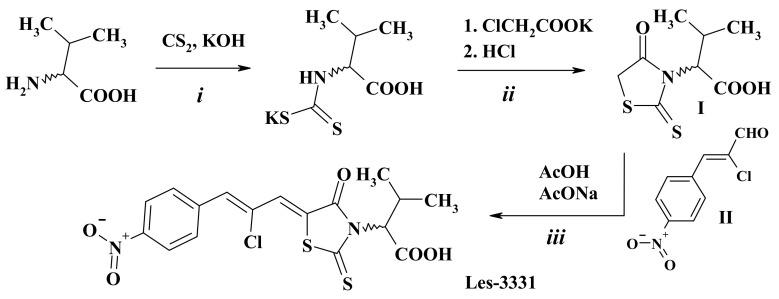
It was established that the synthesis of hybrid molecules containing a thiazolidinone and a (2)-2-chloro-3-(4-nitrophenyl)prop-2-ene structural fragments is an effective approach for the design of potential anticancer agents. Given the results of the previous SAR-analysis, the aim of the study was to synthesize a novel 4-thiazolidinone derivative Les-3331 and investigate its molecular mechanism of action in MCF-7 and MDA-MB-231 breast cancer cells. The cytotoxic properties and antiproliferative potential of Les-3331 were determined. The effect of the tested compound on apoptosis induction and mitochondrial membrane potential was checked by flow cytometry. ELISA was used to determine caspase-8 and caspase-9, LC3A, LC3B, Beclin-1, and topoisomerase II concentration. Additionally, PAMPA, in silico or in vitro prediction of metabolism, CYP3A4/2D6 inhibition, and an Ames test were performed. Les-3331 possesses high cytotoxic and antiproliferative activity in MCF-7 and MDA-MB-231 breast cancer cells. Its molecular mechanism of action is associated with apoptosis induction, decreased mitochondrial membrane potential, and increased caspase-9 and caspase-8 concentrations. Les-3331 decreased LC3A, LC3B, and Beclin-1 concentration in tested cell lines. Topoisomerase II concentration was also lowered. The most probable metabolic pathways and no DDIs risk of Les-3331 were confirmed in in vitro assays. Our studies confirmed that a novel 4-thiazolidinone derivative represents promising anti-breast cancer activity.

摘要

研究表明,合成含有噻唑烷酮和(2)-2-氯-3-(4-硝基苯基)-2-丙烯结构片段的杂合分子是设计潜在抗癌药物的有效方法。鉴于之前 SAR 分析的结果,本研究旨在合成一种新型 4-噻唑烷酮衍生物 Les-3331,并研究其在 MCF-7 和 MDA-MB-231 乳腺癌细胞中的作用机制。测定了 Les-3331 的细胞毒性和抗增殖特性。通过流式细胞术检查了测试化合物对细胞凋亡诱导和线粒体膜电位的影响。使用 ELISA 测定了半胱天冬酶-8 和半胱天冬酶-9、LC3A、LC3B、Beclin-1 和拓扑异构酶 II 的浓度。此外,还进行了 PAMPA、计算机预测或体外代谢、CYP3A4/2D6 抑制和 Ames 试验。Les-3331 在 MCF-7 和 MDA-MB-231 乳腺癌细胞中具有高细胞毒性和抗增殖活性。其作用机制与细胞凋亡诱导、线粒体膜电位降低以及半胱天冬酶-9 和半胱天冬酶-8 浓度增加有关。Les-3331 降低了测试细胞系中 LC3A、LC3B 和 Beclin-1 的浓度。拓扑异构酶 II 的浓度也降低了。在体外试验中证实了 Les-3331 最可能的代谢途径和无 DDIs 风险。我们的研究证实,新型 4-噻唑烷酮衍生物具有有前途的抗乳腺癌活性。

https://cdn.ncbi.nlm.nih.gov/pmc/blobs/6f0a/9032233/cea350ff7e8d/ijms-23-04091-sch001.jpg

文献AI研究员

20分钟写一篇综述,助力文献阅读效率提升50倍。

立即体验

用中文搜PubMed

大模型驱动的PubMed中文搜索引擎

马上搜索

文档翻译

学术文献翻译模型,支持多种主流文档格式。

立即体验