Suppr超能文献

批准的顺铂衍生物在联合治疗不同癌症疾病中的应用。

Application of Approved Cisplatin Derivatives in Combination Therapy against Different Cancer Diseases.

机构信息

Department of Pharmaceutical Chemistry, Faculty of Pharmacy, Medical University-Sofia, Dunav Str. 2, 1000 Sofia, Bulgaria.

Department of Pharmaceutical Chemistry and Pharmacognosy, Faculty of Pharmacy, Medical University-Pleven, Kliment Ohridski Str. 1, 5800 Pleven, Bulgaria.

出版信息

Molecules. 2022 Apr 11;27(8):2466. doi: 10.3390/molecules27082466.

Abstract

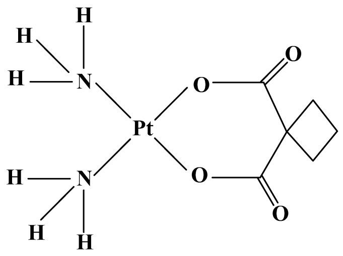
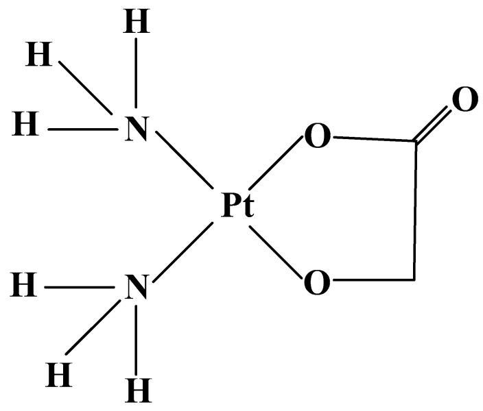
The problems with anticancer therapy are resistance and toxicity. From 3000 Cisplatin derivatives tested as antitumor agents, most of them have been rejected, due to toxicity. The aim of current study is the comparison of therapeutic combinations of the currently applied in clinical practice: Cisplatin, Carboplatin, Oxaliplatin, Nedaplatin, Lobaplatin, Heptaplatin, and Satraplatin. The literature data show that the strategies for the development of platinum anticancer agents and bypassing of resistance to Cisplatin derivatives and their toxicity are: combination therapy, Pt IV prodrugs, the targeted nanocarriers. The very important strategy for the improvement of the antitumor effect against different cancers is synergistic combination of Cisplatin derivatives with: (1) anticancer agents-Fluorouracil, Gemcitabine, Cytarabine, Fludarabine, Pemetrexed, Ifosfamide, Irinotecan, Topotecan, Etoposide, Amrubicin, Doxorubicin, Epirubicin, Vinorelbine, Docetaxel, Paclitaxel, Nab-Paclitaxel; (2) modulators of resistant mechanisms; (3) signaling protein inhibitors-Erlotinib; Bortezomib; Everolimus; (4) and immunotherapeutic drugs-Atezolizumab, Avelumab, Bevacizumab, Cemiplimab, Cetuximab, Durvalumab, Erlotinib, Imatinib, Necitumumab, Nimotuzumab, Nivolumab, Onartuzumab, Panitumumab, Pembrolizumab, Rilotumumab, Trastuzumab, Tremelimumab, and Sintilimab. An important approach for overcoming the drug resistance and reduction of toxicity of Cisplatin derivatives is the application of nanocarriers (polymers and liposomes), which provide improved targeted delivery, increased intracellular penetration, selective accumulation in tumor tissue, and enhanced therapeutic efficacy. The advantages of combination therapy are maximum removal of tumor cells in different phases; prevention of resistance; inhibition of the adaptation of tumor cells and their mutations; and reduction of toxicity.

摘要

抗癌疗法的问题在于耐药性和毒性。在作为抗肿瘤剂测试的 3000 种顺铂衍生物中,由于毒性,大多数都被拒绝了。目前研究的目的是比较目前临床应用的治疗组合:顺铂、卡铂、奥沙利铂、奈达铂、洛铂、庚铂和萨铂。文献数据表明,开发铂类抗癌药物和克服顺铂衍生物耐药性及其毒性的策略是:联合治疗、Pt IV 前药、靶向纳米载体。提高针对不同癌症的抗肿瘤效果的非常重要策略是将顺铂衍生物与以下药物联合使用:(1)抗癌药物——氟尿嘧啶、吉西他滨、阿糖胞苷、氟达拉滨、培美曲塞、异环磷酰胺、伊立替康、拓扑替康、依托泊苷、氨柔比星、多柔比星、表柔比星、长春瑞滨、多西他赛、紫杉醇、白蛋白结合型紫杉醇;(2)耐药机制调节剂;(3)信号蛋白抑制剂——厄洛替尼;硼替佐米;依维莫司;(4)免疫治疗药物——阿替利珠单抗、阿维鲁单抗、贝伐珠单抗、西米普利单抗、西妥昔单抗、度伐鲁单抗、厄洛替尼、伊马替尼、尼妥珠单抗、尼鲁单抗、纳武利尤单抗、奥沙利铂、帕尼单抗、派姆单抗、里利鲁单抗、曲妥珠单抗、替西木单抗、以及信迪利单抗。克服顺铂衍生物耐药性和降低毒性的重要方法是应用纳米载体(聚合物和脂质体),这可以提供更好的靶向递送、增加细胞内渗透、选择性在肿瘤组织中积累,并增强治疗效果。联合治疗的优点是最大限度地去除不同阶段的肿瘤细胞;预防耐药性;抑制肿瘤细胞的适应和突变;降低毒性。

https://cdn.ncbi.nlm.nih.gov/pmc/blobs/c96a/9031877/3122b580dc65/molecules-27-02466-g001.jpg

文献AI研究员

20分钟写一篇综述,助力文献阅读效率提升50倍。

立即体验

用中文搜PubMed

大模型驱动的PubMed中文搜索引擎

马上搜索

文档翻译

学术文献翻译模型,支持多种主流文档格式。

立即体验