Suppr超能文献

体液和细胞应答对免疫介导的炎症性疾病患者中δ SARS-CoV-2 变异株刺突的反应。

Humoral and cellular responses to spike of δ SARS-CoV-2 variant in vaccinated patients with immune-mediated inflammatory diseases.

机构信息

Translational Research Unit, National Institute for Infectious Diseases Lazzaro Spallanzani-IRCCS, 00149 Rome, Italy.

Department of Clinical and Molecular Medicine, "Sapienza" University, S. Andrea University Hospital, 00189 Rome, Italy.

出版信息

Int J Infect Dis. 2022 Aug;121:24-30. doi: 10.1016/j.ijid.2022.04.027. Epub 2022 Apr 22.

Abstract

OBJECTIVES

We assessed vaccination-induced antibody and cellular responses against spike from the ancestral strain and from the delta (δ) SARS-CoV-2 variant in patients with immune-mediated inflammatory diseases (IMIDs) on immunosuppressive therapy in comparison with immunocompetent subjects.

METHODS

We enrolled patients with IMID and immunocompetent subjects who completed the vaccination schedule within 4-6 months from the first dose. The interferon (IFN)-γ-response to spike peptides that were derived from the ancestral and the δ SARS-CoV-2 were measured by ELISA. Anti-Receptor Binding Domain IgG antibodies were also evaluated.

RESULTS

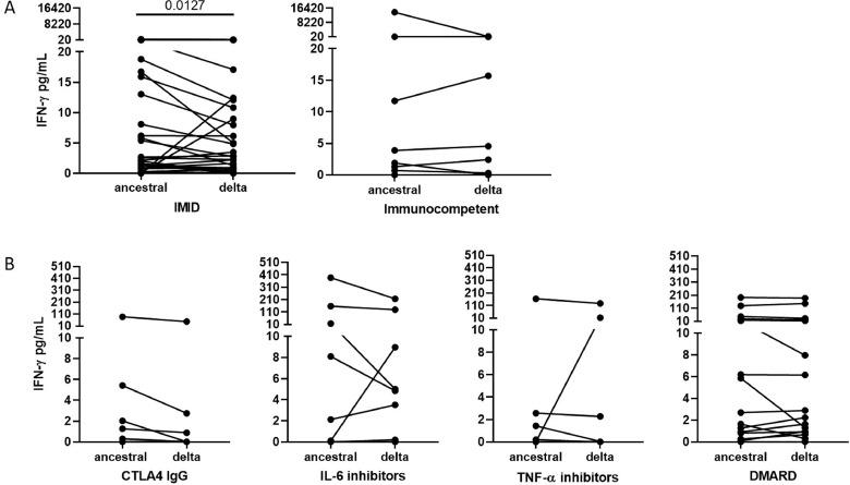
We enrolled 43 patients with IMID and nine immunocompetent subjects. No significant differences were found after comparing the specific immune response (IFN-γ) between patients with IMID and immunocompetent subjects to the ancestral (p = 0.36) or δ peptide pool (p = 0.51). Nevertheless, IFN-γ-specific responses to the ancestral or to the δ pools were reduced in subjects taking CTLA4-IgG or TNF-α inhibitors compared with subjects treated with IL-6 inhibitors or Disease Modifying Anti-Rheumatic Drugs. Regarding the antibody response, no significant differences were observed between patients with IMID and immunocompetent individuals.

CONCLUSIONS

Cellular responses to δ SARS-CoV-2 variant remain largely intact in patients with IMID. However, the magnitude of these responses is dependent on the specific IMID immunosuppressive regimen. Serological response was also similar between the IMID and control groups.

摘要

目的

我们评估了接受免疫抑制治疗的免疫介导性炎症性疾病(IMID)患者与免疫正常人相比,针对原始株和 delta(δ)SARS-CoV-2 变异株刺突的疫苗诱导抗体和细胞反应。

方法

我们招募了在首剂后 4-6 个月内完成疫苗接种计划的 IMID 患者和免疫正常人。通过 ELISA 测量干扰素(IFN)-γ对源自原始和 δ SARS-CoV-2 的刺突肽的反应。还评估了抗受体结合域 IgG 抗体。

结果

我们招募了 43 名 IMID 患者和 9 名免疫正常人。在比较 IMID 患者与免疫正常人对原始(p=0.36)或 δ 肽库(p=0.51)的特异性免疫反应(IFN-γ)时,未发现显著差异。然而,与接受 IL-6 抑制剂或疾病修饰抗风湿药物治疗的患者相比,接受 CTLA4-IgG 或 TNF-α 抑制剂治疗的患者对原始或 δ 池的 IFN-γ 特异性反应降低。关于抗体反应,IMID 患者与免疫正常人之间未观察到显著差异。

结论

IMID 患者对 δ SARS-CoV-2 变异株的细胞反应基本保持完整。然而,这些反应的幅度取决于特定的 IMID 免疫抑制方案。IMID 和对照组之间的血清学反应也相似。

https://cdn.ncbi.nlm.nih.gov/pmc/blobs/509b/9023365/41042e8ccdc2/ga1_lrg.jpg

文献AI研究员

20分钟写一篇综述,助力文献阅读效率提升50倍。

立即体验

用中文搜PubMed

大模型驱动的PubMed中文搜索引擎

马上搜索

文档翻译

学术文献翻译模型,支持多种主流文档格式。

立即体验