Suppr超能文献

一项评估基于核蛋白的流感疫苗 OVX836 的免疫原性和安全性的随机、双盲、对照、2a 期研究

Randomized, Double-Blind, Reference-Controlled, Phase 2a Study Evaluating the Immunogenicity and Safety of OVX836, A Nucleoprotein-Based Influenza Vaccine.

机构信息

Center for Vaccinology (CEVAC), Ghent University and University Hospital, Ghent, Belgium.

OSIVAX, Lyon, France.

出版信息

Front Immunol. 2022 Apr 7;13:852904. doi: 10.3389/fimmu.2022.852904. eCollection 2022.

Abstract

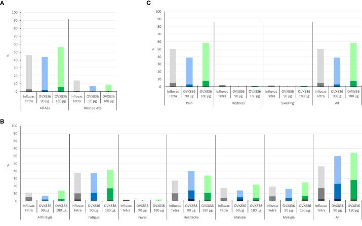
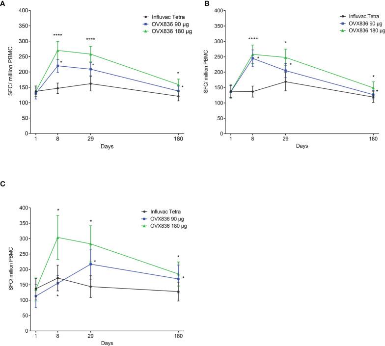
OVX836 is a recombinant protein-based vaccine targeting the highly conserved influenza nucleoprotein (NP), which aims to confer a broad-spectrum protection against influenza. In a Phase 1 study, OVX836, administered intramuscularly, has been found safe and immunogenic. The 90µg and 180µg dose levels were selected to be further evaluated in this randomized, monocenter, reference-controlled (Influvac Tetra™: quadrivalent seasonal influenza subunit vaccine), parallel group, double-blind, Phase 2a study in 300 healthy volunteers, aged 18-65 years, during the 2019/2020 flu season. Safety, influenza-like illness episodes (ILI; based on the Flu-PRO questionnaire) and immunogenicity were assessed up to 180 days post-vaccination. OVX836 was safe and presented a reactogenicity profile similar to Influvac Tetra. It induced a significant increase in terms of NP-specific interferon-gamma (IFNγ) spot forming cells (SFCs), NP-specific CD4+ T-cells (essentially polyfunctional cells) and anti-NP IgG responses. OVX836 was superior to Influvac Tetra for all immunological parameters related to NP, and the 180µg dose was significantly superior to the 90µg dose for SFCs and CD4+ T-cells expressing IFNγ. Both the CD4+ T-cell and the anti-NP IgG responses persisted up to Day 180. An efficacy signal was observed with OVX836 at 180µg through reduction of ILI episodes occurring during the flu season as of 14 days post-vaccination. In conclusion, these results encourage further clinical evaluation of OVX836 in order to confirm the signal of efficacy on ILIs and/or laboratory-confirmed influenza cases. NCT04192500 (https://clinicaltrials.gov/ct2/show/study/NCT04192500).

摘要

OVX836 是一种针对高度保守的流感核蛋白(NP)的重组蛋白疫苗,旨在提供针对流感的广谱保护。在一项 1 期研究中,肌肉内给药的 OVX836 被发现是安全且具有免疫原性的。选择 90μg 和 180μg 剂量水平在这项 2019/2020 流感季节期间,在 300 名年龄在 18-65 岁的健康志愿者中进行的随机、单中心、对照(Influvac Tetra™:四价季节性流感亚单位疫苗)、平行组、双盲、2a 期研究中进行进一步评估。安全性、流感样疾病发作(ILI;基于 Flu-PRO 问卷)和免疫原性评估至接种后 180 天。OVX836 是安全的,具有与 Influvac Tetra 相似的反应原性特征。它诱导 NP 特异性干扰素-γ(IFNγ)斑点形成细胞(SFC)、NP 特异性 CD4+T 细胞(基本上是多功能细胞)和抗-NP IgG 反应的显著增加。与所有与 NP 相关的免疫参数相比,OVX836 优于 Influvac Tetra,并且 180μg 剂量在 SFC 和表达 IFNγ的 CD4+T 细胞方面明显优于 90μg 剂量。CD4+T 细胞和抗-NP IgG 反应持续至第 180 天。在接种后 14 天开始的流感季节中,观察到 OVX836 在 180μg 时的疗效信号,ILI 发作减少。总之,这些结果鼓励进一步评估 OVX836 的临床疗效,以确认对 ILI 和/或实验室确诊流感病例的疗效信号。NCT04192500(https://clinicaltrials.gov/ct2/show/study/NCT04192500)。

https://cdn.ncbi.nlm.nih.gov/pmc/blobs/7fff/9022189/c24c4e1ffa42/fimmu-13-852904-g001.jpg

文献AI研究员

20分钟写一篇综述,助力文献阅读效率提升50倍。

立即体验

用中文搜PubMed

大模型驱动的PubMed中文搜索引擎

马上搜索

文档翻译

学术文献翻译模型,支持多种主流文档格式。

立即体验