Suppr超能文献

评估 2 至 3 剂 BNT162b2 mRNA COVID-19 疫苗后针对 SARS-CoV-2 变异株的中和抗体反应。

Assessment of Neutralizing Antibody Response Against SARS-CoV-2 Variants After 2 to 3 Doses of the BNT162b2 mRNA COVID-19 Vaccine.

机构信息

Division of Clinical Virology, Center for Infectious Diseases, Kobe University Graduate School of Medicine, Kobe, Japan.

出版信息

JAMA Netw Open. 2022 May 2;5(5):e2210780. doi: 10.1001/jamanetworkopen.2022.10780.

Abstract

IMPORTANCE

Although 2 and 3 doses of vaccine have been implemented against the SARS-CoV-2 pandemic, the level of immunity achieved by these additional vaccinations remains unclear.

OBJECTIVE

To investigate the induction of neutralizing antibodies against the SARS-CoV-2 Omicron variant after 2 and 3 doses of the BNT162b2 messenger RNA (mRNA) vaccine among recipients of different ages.

DESIGN, SETTING, AND PARTICIPANTS: A cohort study was conducted from June 1, 2021, to January 12, 2022, among 82 physicians at Kobe University Hospital who had received 2 doses of the BNT162b2 mRNA vaccine.

MAIN OUTCOMES AND MEASURES

The rates of positive test results and the titers of neutralizing antibodies against the Omicron variant after 2 and 3 doses of the vaccine were compared with those against other variants and compared among 3 age groups (≤38 years [younger age group], 39-58 years [intermediate age group], and ≥59 years [older age group]).

RESULTS

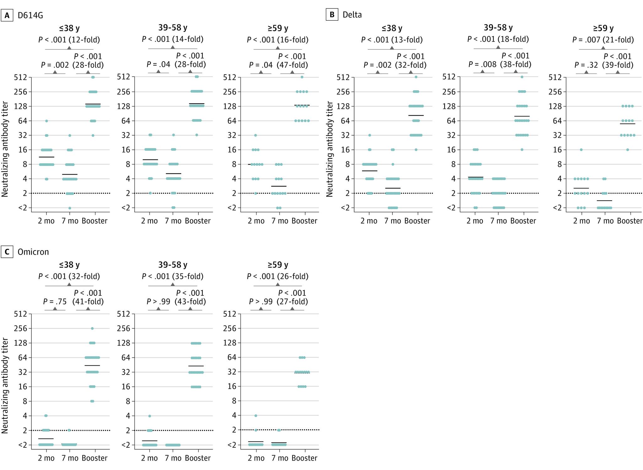
A total of 82 physicians (71 men [87%]; median age, 44 years [IQR, 33-58 years]) participated; 31 (38%) were in the younger age group, 32 (39%) were in the intermediate age group, and 19 (23%) were in the older age group. At 2 months after 2 doses of the vaccine, 23 participants (28%) had neutralizing antibodies against the Omicron variant, with a titer of 1.3 (95% CI, 1.2-1.4), which was 11.8-fold (95% CI, 9.9-13.9) lower than the titer against the D614G variant and the lowest among the variants tested. Although the titer of the neutralizing antibody against the Delta variant tended to be low among the older age group (2.9 [95% CI, 2.0-4.1]), the titers of the neutralizing antibody against the Omicron variant were low among all age groups (younger age group, 1.3 [95% CI, 1.1-1.6]; intermediate age group, 1.3 (95% CI, [95% CI, 1.1-1.5]; and older age group, 1.2 [95% CI, 1.0-1.4]). At 7 months after 2 doses of the vaccine, 5 participants (6%) had the neutralizing antibody against the Omicron variant, but after the booster (third dose) vaccination, all 72 participants who received the booster had the neutralizing antibody, and the titer was 41 (95% CI, 34-49), much higher than that at 7 months after 2 doses of the vaccine (1.0 [95% CI, 1.0-1.1]). This increase in titers was observed regardless of age groups; the titers were 44 (95% CI, 32-59) among the younger age group, 44 (95% CI, 32-59) among the intermediate age group, and 30 (95% CI, 22-41) among the older age group.

CONCLUSIONS AND RELEVANCE

In this cohort study of 82 Japanese participants, 2 doses of the BNT162b2 mRNA vaccine did not induce sufficient neutralizing antibody against the Omicron variant. However, booster vaccination was associated with induction of a high level of neutralizing antibodies against the Omicron variant, irrespective of the recipient's age.

摘要

重要性:尽管针对 SARS-CoV-2 大流行已经实施了 2 剂和 3 剂疫苗接种,但这些额外接种疫苗所产生的免疫水平仍不清楚。

目的:研究不同年龄组的 BNT162b2 信使 RNA(mRNA)疫苗接种者接种 2 剂和 3 剂后对 SARS-CoV-2 奥密克戎变异株产生中和抗体的情况。

设计、地点和参与者:这是一项队列研究,于 2021 年 6 月 1 日至 2022 年 1 月 12 日在神户大学医院的 82 名医生中进行,他们均已接种 2 剂 BNT162b2 mRNA 疫苗。

主要结果和措施:比较了 2 剂和 3 剂疫苗接种后对奥密克戎变异株的阳性检测结果率和中和抗体滴度,以及与其他变异株的比较,并在 3 个年龄组(≤38 岁[年轻组]、39-58 岁[中年组]和≥59 岁[老年组])之间进行了比较。

结果:共有 82 名医生(71 名男性[87%];中位年龄 44 岁[IQR,33-58 岁])参与;31 名(38%)为年轻组,32 名(39%)为中年组,19 名(23%)为老年组。在接种 2 剂疫苗后 2 个月,23 名参与者(28%)对奥密克戎变异株产生中和抗体,滴度为 1.3(95%CI,1.2-1.4),比 D614G 变异株低 11.8 倍(95%CI,9.9-13.9),是测试的变异株中最低的。尽管老年组中和抗体对德尔塔变异株的滴度(2.9[95%CI,2.0-4.1])有下降趋势,但所有年龄组的中和抗体对奥密克戎变异株的滴度均较低(年轻组,1.3[95%CI,1.1-1.6];中年组,1.3[95%CI,1.1-1.5];老年组,1.2[95%CI,1.0-1.4])。在接种 2 剂疫苗后 7 个月,5 名参与者(6%)产生了针对奥密克戎变异株的中和抗体,但在加强针(第 3 剂)接种后,所有接受加强针接种的 72 名参与者均产生了中和抗体,滴度为 41(95%CI,34-49),远高于接种 2 剂疫苗后 7 个月时的水平(1.0[95%CI,1.0-1.1])。这种滴度的增加在各个年龄组中都观察到;年轻组为 44(95%CI,32-59),中年组为 44(95%CI,32-59),老年组为 30(95%CI,22-41)。

结论和相关性:在这项针对 82 名日本参与者的队列研究中,接种 2 剂 BNT162b2 mRNA 疫苗不能诱导对奥密克戎变异株产生足够的中和抗体。然而,加强接种与诱导对奥密克戎变异株产生高水平的中和抗体有关,与接种者的年龄无关。

https://cdn.ncbi.nlm.nih.gov/pmc/blobs/8bf3/9086840/9756cafa399c/jamanetwopen-e2210780-g001.jpg

文献AI研究员

20分钟写一篇综述,助力文献阅读效率提升50倍。

立即体验

用中文搜PubMed

大模型驱动的PubMed中文搜索引擎

马上搜索

文档翻译

学术文献翻译模型,支持多种主流文档格式。

立即体验