Suppr超能文献

骨折内固定失败后改行髋关节置换术患者的固定相关感染筛查:一项单中心回顾性研究。

The Screening of Fixation-Related Infection in Patients Undergoing Conversion Total Hip Arthroplasty after Failed Internal Fixation of Hip Fractures: A Single-Central Retrospective Study.

机构信息

Department of Orthopaedic Surgery, West China Hospital, Sichuan University, Chengdu, China.

Department of Orthopaedic Surgery, West China Hospital, Sichuan University/ West China Hospital of Nursing, Sichuan University, Chengdu, China.

出版信息

Orthop Surg. 2022 Jun;14(6):1167-1174. doi: 10.1111/os.13225. Epub 2022 May 18.

Abstract

OBJECTIVE

To evaluate the diagnostic values of preoperative plasma fibrinogen and platelet count for screening fixation-related infection (FRI) in patients undergoing conversion total hip arthroplasty (cTHA) after failed internal fixation of hip fractures.

METHOD

This was a single-center retrospective study. Data were retrospectively analyzed for 435 patients who underwent cTHA in our hospital from January 2008 to September 2020. They were divided into infected (n = 30) and non-infected groups (n = 405) according to the 2013 International Consensus Meeting (ICM) criteria. The diagnostic sensitivity and specificity of plasma fibrinogen and platelet count were determined using receiver operating characteristic (ROC) curves. Optimal predictive cutoffs of these two markers were determined based on the Youden index. In addition, the diagnostic value of preoperative serum C-reactive protein (CRP) and erythrocyte sedimentation rate (ESR) for screening FRI were also evaluated based on the cutoffs recommended by the 2013 ICM Criteria. Finally, the diagnostic ability of various combinations of the plasma fibrinogen and platelet count as well as serum CRP and ESR was re-assessed.

RESULTS

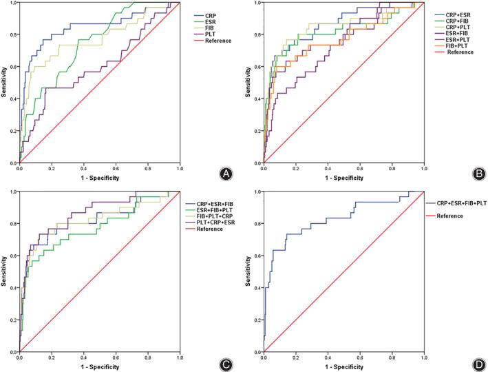
The numbers of patients with and without FRI were 30 (6.9%) and 405 (93.1%), respectively. Areas under the ROC curves were 0.770 for fibrinogen, 0.606 for platelet, 0.844 for CRP and 0.749 for ESR. The optimal predictive cutoff of fibrinogen was 3.73 g/L, which gave sensitivity of 60.0% and specificity of 90.5%. The optimal predictive cutoff for platelet was 241.5 × 10 /L, which gave sensitivity of 46.7% and specificity of 83.7%. The CRP gave sensitivity of 66.7% and specificity of 92.5% with the predetermined cutoff of 10 mg/L, while the ESR gave sensitivity of 67.5% and specificity of 72.4% % with the predetermined cutoff of 30 mm/h. The combination of CRP and ESR showed high specificity of 93.2% but low sensitivity of 66.7%, while the corresponding values for CRP with fibrinogen were satisfied both for sensitivity of 80.0% and specificity of 78.7%. The combination of these four biomarkers gave sensitivity of 73.3% and specificity of 85.7%.

CONCLUSION

Preoperative serum CRP, ESR, plasma fibrinogen and platelet count have low sensitivity on their own for screening FRI in patients, but the combination of CRP with fibrinogen shows promise for that.

摘要

目的

评估术前血浆纤维蛋白原和血小板计数对髋部骨折内固定失败后行转换全髋关节置换术(cTHA)患者筛选固定相关感染(FRI)的诊断价值。

方法

这是一项单中心回顾性研究。回顾性分析了 2008 年 1 月至 2020 年 9 月在我院行 cTHA 的 435 例患者的数据。根据 2013 年国际共识会议(ICM)标准,他们被分为感染组(n=30)和非感染组(n=405)。使用受试者工作特征(ROC)曲线确定血浆纤维蛋白原和血小板计数的诊断灵敏度和特异性。根据约登指数确定这两个标志物的最佳预测截断值。此外,还根据 2013 年 ICM 标准推荐的截断值评估术前血清 C 反应蛋白(CRP)和红细胞沉降率(ESR)对筛选 FRI 的诊断价值。最后,重新评估了血浆纤维蛋白原和血小板计数以及血清 CRP 和 ESR 各种组合的诊断能力。

结果

FRI 患者 30 例(6.9%),无 FRI 患者 405 例(93.1%)。纤维蛋白原的 ROC 曲线下面积为 0.770,血小板为 0.606,CRP 为 0.844,ESR 为 0.749。纤维蛋白原的最佳预测截断值为 3.73 g/L,其灵敏度为 60.0%,特异性为 90.5%。血小板的最佳预测截断值为 241.5×10/L,其灵敏度为 46.7%,特异性为 83.7%。CRP 的预定截断值为 10 mg/L 时,灵敏度为 66.7%,特异性为 92.5%,ESR 的预定截断值为 30 mm/h 时,灵敏度为 67.5%,特异性为 72.4%。CRP 和 ESR 的组合具有 93.2%的高特异性和 66.7%的低灵敏度,而 CRP 与纤维蛋白原的对应值在 80.0%的灵敏度和 78.7%的特异性方面均令人满意。这四种生物标志物的组合具有 73.3%的灵敏度和 85.7%的特异性。

结论

术前血清 CRP、ESR、血浆纤维蛋白原和血小板计数单独用于筛选 FRI 的敏感性较低,但 CRP 与纤维蛋白原联合使用具有一定的潜力。

https://cdn.ncbi.nlm.nih.gov/pmc/blobs/9aaa/9163979/dacda9613a98/OS-14-1167-g002.jpg

文献AI研究员

20分钟写一篇综述,助力文献阅读效率提升50倍。

立即体验

用中文搜PubMed

大模型驱动的PubMed中文搜索引擎

马上搜索

文档翻译

学术文献翻译模型,支持多种主流文档格式。

立即体验