Suppr超能文献

长期运动和高脂饮食对大鼠年龄相关端粒缩短的影响。

Influences of Long-Term Exercise and High-Fat Diet on Age-Related Telomere Shortening in Rats.

作者信息

Semeraro Maria Donatella, Almer Gunter, Renner Wilfried, Gruber Hans-Jürgen, Herrmann Markus

机构信息

Clinical Institute of Medical and Chemical Laboratory Diagnostics (CIMCL), Medical University of Graz, 8036 Graz, Austria.

出版信息

Cells. 2022 May 10;11(10):1605. doi: 10.3390/cells11101605.

Abstract

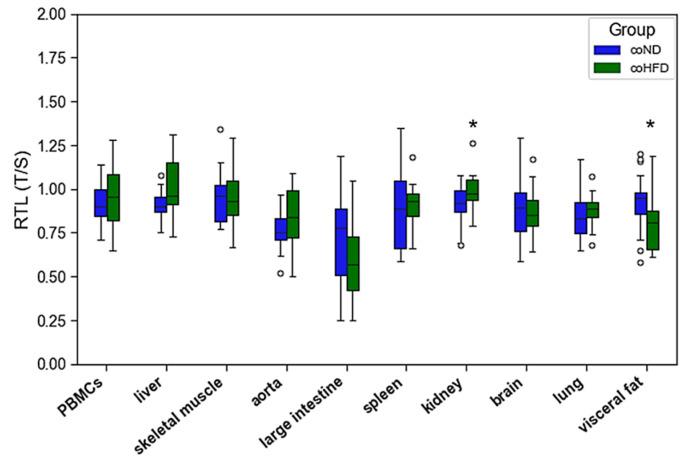
(1) Obesity and exercise are believed to modify age-related telomere shortening by regulating telomerase and shelterins. Existing studies are inconsistent and limited to peripheral blood mononuclear cells (PBMCs) and selected solid tissues. (2) Female Sprague Dawley (SD) rats received either standard diet (ND) or high-fat diet (HFD). For 10 months, half of the animals from both diet groups performed 30 min running at 30 cm/s on five consecutive days followed by two days of rest (exeND, exeHFD). The remaining animals served as sedentary controls (coND, coHFD). Relative telomere length (RTL) and mRNA expression of telomerase (TERT) and the shelterins TERF-1 and TERF-2 were mapped in PBMCs and nine solid tissues. (3) At study end, coND and coHFD animals showed comparable RTL in most tissues with no systematic differences in TERT, TERF-1 and TERF-2 expression. Only visceral fat of coHFD animals showed reduced RTL and lower expression of TERT, TERF-1 and TERF-2. Exercise had heterogeneous effects on RTL in exeND and exeHFD animals with longer telomeres in aorta and large intestine, but shorter telomeres in PBMCs and liver. Telomere-regulating genes showed inconsistent expression patterns. (4) In conclusion, regular exercise or HFD cannot systematically modify RTL by regulating the expression of telomerase and shelterins.

摘要

(1)肥胖和运动被认为可通过调节端粒酶和保护蛋白来改变与年龄相关的端粒缩短。现有研究结果并不一致,且仅限于外周血单核细胞(PBMC)和选定的实体组织。(2)雌性斯普拉格 - 道利(SD)大鼠分别接受标准饮食(ND)或高脂饮食(HFD)。在10个月的时间里,两个饮食组中的一半动物连续五天以30厘米/秒的速度进行30分钟的跑步,然后休息两天(exeND,exeHFD)。其余动物作为久坐对照组(coND,coHFD)。在PBMC和九个实体组织中绘制了相对端粒长度(RTL)以及端粒酶(TERT)和保护蛋白TERF - 1及TERF - 2的mRNA表达。(3)在研究结束时,coND和coHFD动物在大多数组织中显示出相当的RTL,TERT、TERF - 1和TERF - 2的表达没有系统性差异。只有coHFD动物的内脏脂肪显示出RTL降低以及TERT、TERF - 1和TERF - 2的表达较低。运动对exeND和exeHFD动物的RTL有不同的影响,主动脉和大肠中的端粒较长,但PBMC和肝脏中的端粒较短。端粒调节基因显示出不一致的表达模式。(4)总之,规律运动或高脂饮食不能通过调节端粒酶和保护蛋白的表达来系统性地改变RTL。

https://cdn.ncbi.nlm.nih.gov/pmc/blobs/a4c6/9139508/d6faf67c4e28/cells-11-01605-g001.jpg

文献AI研究员

20分钟写一篇综述,助力文献阅读效率提升50倍。

立即体验

用中文搜PubMed

大模型驱动的PubMed中文搜索引擎

马上搜索

文档翻译

学术文献翻译模型,支持多种主流文档格式。

立即体验