Suppr超能文献

利用多个转录组数据集构建用于脓毒症早期诊断、预后评估及免疫抑制识别的HLA分类器

Construction of an HLA Classifier for Early Diagnosis, Prognosis, and Recognition of Immunosuppression in Sepsis by Multiple Transcriptome Datasets.

作者信息

Chen Zhen, Chen Rui, Ou Yangpeng, Lu Jianhai, Jiang Qianhua, Liu Genglong, Wang Liping, Liu Yayun, Zhou Zhujiang, Yang Ben, Zuo Liuer

机构信息

Department of Intensive Care Unit, Shunde Hospital, Southern Medical University (The First People's Hospital of Shunde), Foshan, China.

Department of Medical Intensive Care Unit, General Hospital of Southern Theater Command, Guangzhou, China.

出版信息

Front Physiol. 2022 May 24;13:870657. doi: 10.3389/fphys.2022.870657. eCollection 2022.

Abstract

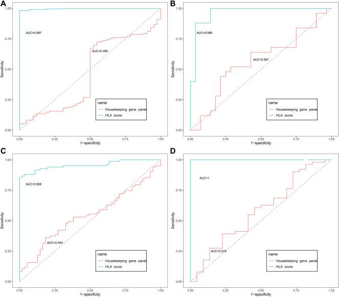
Sepsis is a clinical syndrome, due to a dysregulated inflammatory response to infection. Accumulating evidence shows that human leukocyte antigen (HLA) genes play a key role in the immune responses to sepsis. Nevertheless, the effects of HLA genes in sepsis have still not been comprehensively understood. A systematical search was performed in the Gene Expression Omnibus (GEO) and ArrayExpress databases from inception to 10 September 2021. Random forest (RF) and modified Lasso penalized regression were conducted to identify hub genes in multi-transcriptome data, thus we constructed a prediction model, namely the HLA classifier. ArrayExpress databases, as external validation, were utilized to evaluate its diagnostic, prognostic, and predictive performance. Immune cell infiltration score was calculated via CIBERSORTx tools and single-sample gene set enrichment analysis (ssGSEA). Gene set variation analysis (GSVA) and ssGSEA were conducted to determine the pathways that are significantly enriched in different subgroups. Next, we systematically correlated the HLA classifier with immunological characteristics from multiple perspectives, such as immune-related cell infiltration, pivotal molecular pathways, and cytokine expression. Finally, quantitative real-time polymerase chain reaction (qRT-PCR) was conducted to validate the expression level of HLA genes in clinical samples. A total of nine datasets comprising 1,251 patients were included. Based on RF and modified Lasso penalized regression in multi-transcriptome datasets, five HLA genes (B2M, HLA-DQA1, HLA-DPA1, TAP1, and TAP2) were identified as hub genes, which were used to construct an HLA classifier. In the discovery cohort, the HLA classifier exhibited superior diagnostic value (AUC = 0.997) and performed better in predicting mortality (AUC = 0.716) than clinical characteristics or endotypes. Encouragingly, similar results were observed in the ArrayExpress databases. In the E-MTAB-7581 dataset, the use of hydrocortisone in the HLA high-risk subgroup (OR: 2.84, 95% CI 1.07-7.57, = 0.037) was associated with increased risk of mortality, but not in the HLA low-risk subgroup. Additionally, immune infiltration analysis by CIBERSORTx and ssGSEA revealed that B cells, activated dendritic cells, NK cells, T helper cells, and infiltrating lymphocytes (ILs) were significantly richer in HLA low-risk phenotypes, while Tregs and myeloid-derived suppressor cells (MDSCs) were more abundant in HLA high-risk phenotypes. The HLA classifier was significantly negatively correlated with B cells, activated dendritic cells, NK cells, T helper cells, and ILs, yet was significantly positively correlated with Tregs and MDSCs. Subsequently, molecular pathways analysis uncovered that cytokine-cytokine receptor (CCR) interaction, human leukocyte antigen (HLA), and antigen-presenting cell (APC) co-stimulation were significantly enriched in HLA low-risk endotypes, which was significantly negatively correlated with the HLA classifier in multi-transcriptome data. Finally, the expression levels of several cytokines (IL-10, IFNG, TNF) were significantly different between the HLA subgroups, and the ratio of IL-10/TNF was significantly positively correlated with HLA score in multi-transcriptome data. Results of qRT-PCR validated the higher expression level of B2M as well as lower expression level of HLA-DQA1, HLA-DPA1, TAP1, and TAP2 in sepsis samples compared to control sample. Based on five HLA genes, a diagnostic and prognostic model, namely the HLA classifier, was established, which is closely correlated with responses to hydrocortisone and immunosuppression status and might facilitate personalized counseling for specific therapy.

摘要

脓毒症是一种临床综合征,归因于对感染的炎症反应失调。越来越多的证据表明,人类白细胞抗原(HLA)基因在脓毒症的免疫反应中起关键作用。然而,HLA基因在脓毒症中的作用仍未得到全面了解。我们对基因表达综合数据库(GEO)和ArrayExpress数据库进行了系统检索,检索时间跨度从数据库创建到2021年9月10日。我们采用随机森林(RF)和改进的套索惩罚回归分析来识别多转录组数据中的核心基因,从而构建了一个预测模型,即HLA分类器。利用ArrayExpress数据库作为外部验证,来评估其诊断、预后和预测性能。通过CIBERSORTx工具和单样本基因集富集分析(ssGSEA)计算免疫细胞浸润分数。进行基因集变异分析(GSVA)和ssGSEA以确定在不同亚组中显著富集的通路。接下来,我们从多个角度系统地将HLA分类器与免疫特征相关联,如免疫相关细胞浸润、关键分子通路和细胞因子表达。最后,进行定量实时聚合酶链反应(qRT-PCR)以验证临床样本中HLA基因的表达水平。总共纳入了9个数据集,包含1251名患者。基于多转录组数据集中的RF和改进的套索惩罚回归分析,确定了五个HLA基因(B2M、HLA-DQA1、HLA-DPA1、TAP1和TAP2)为核心基因,用于构建HLA分类器。在发现队列中,HLA分类器表现出卓越的诊断价值(AUC = 0.997),并且在预测死亡率方面(AUC = 0.716)比临床特征或内型表现更好。令人鼓舞的是,在ArrayExpress数据库中也观察到了类似的结果。在E-MTAB-7581数据集中,在HLA高风险亚组中使用氢化可的松(OR:2.84,95% CI 1.07 - 7.57,P = 0.037)与死亡风险增加相关,但在HLA低风险亚组中并非如此。此外,通过CIBERSORTx和ssGSEA进行的免疫浸润分析表明,B细胞、活化的树突状细胞、NK细胞、辅助性T细胞和浸润淋巴细胞(ILs)在HLA低风险表型中显著更丰富,而调节性T细胞(Tregs)和髓源性抑制细胞(MDSCs)在HLA高风险表型中更为丰富。HLA分类器与B细胞、活化的树突状细胞、NK细胞、辅助性T细胞和ILs显著负相关,但与Tregs和MDSCs显著正相关。随后的分子通路分析发现,细胞因子 - 细胞因子受体(CCR)相互作用、人类白细胞抗原(HLA)和抗原呈递细胞(APC)共刺激在HLA低风险内型中显著富集,这在多转录组数据中与HLA分类器显著负相关。最后,几个细胞因子(IL-10、IFNG、TNF)的表达水平在HLA亚组之间存在显著差异,并且IL-10/TNF的比值在多转录组数据中与HLA评分显著正相关。qRT-PCR结果验证了脓毒症样本中B2M的表达水平较高,而HLA-DQA1、HLA-DPA1、TAP1和TAP2的表达水平低于对照样本。基于五个HLA基因,建立了一个诊断和预后模型,即HLA分类器,它与对氢化可的松的反应和免疫抑制状态密切相关,可能有助于针对特定治疗进行个性化咨询。

https://cdn.ncbi.nlm.nih.gov/pmc/blobs/fcd2/9171028/ba232ebe5309/fphys-13-870657-g001.jpg

文献AI研究员

20分钟写一篇综述,助力文献阅读效率提升50倍。

立即体验

用中文搜PubMed

大模型驱动的PubMed中文搜索引擎

马上搜索

文档翻译

学术文献翻译模型,支持多种主流文档格式。

立即体验