Suppr超能文献

Merlin,一种用于重建高质量基因组规模代谢模型的改进框架。

merlin, an improved framework for the reconstruction of high-quality genome-scale metabolic models.

机构信息

Centre of Biological Engineering, University of Minho, 4710-057 Braga, Portugal.

LABBELS - Associate Laboratory, Braga/Guimarães, Portugal.

出版信息

Nucleic Acids Res. 2022 Jun 24;50(11):6052-6066. doi: 10.1093/nar/gkac459.

Abstract

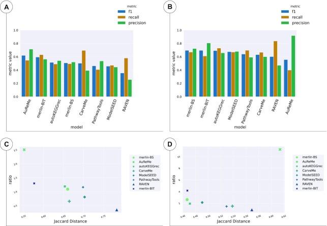
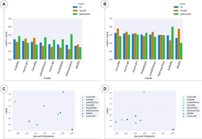
Genome-scale metabolic models have been recognised as useful tools for better understanding living organisms' metabolism. merlin (https://www.merlin-sysbio.org/) is an open-source and user-friendly resource that hastens the models' reconstruction process, conjugating manual and automatic procedures, while leveraging the user's expertise with a curation-oriented graphical interface. An updated and redesigned version of merlin is herein presented. Since 2015, several features have been implemented in merlin, along with deep changes in the software architecture, operational flow, and graphical interface. The current version (4.0) includes the implementation of novel algorithms and third-party tools for genome functional annotation, draft assembly, model refinement, and curation. Such updates increased the user base, resulting in multiple published works, including genome metabolic (re-)annotations and model reconstructions of multiple (lower and higher) eukaryotes and prokaryotes. merlin version 4.0 is the only tool able to perform template based and de novo draft reconstructions, while achieving competitive performance compared to state-of-the art tools both for well and less-studied organisms.

摘要

基因组规模代谢模型已被公认为更好地理解生物体代谢的有用工具。 Merlin(https://www.merlin-sysbio.org/)是一个开源且用户友好的资源,它加速了模型的重建过程,将手动和自动程序结合起来,同时利用用户的专业知识和面向策管的图形界面。本文介绍了 Merlin 的一个更新和重新设计的版本。自 2015 年以来,Merlin 中已经实现了多个功能,同时软件架构、操作流程和图形界面也发生了深刻的变化。当前版本(4.0)包括用于基因组功能注释、草案组装、模型细化和策管的新型算法和第三方工具的实现。这些更新增加了用户基础,促成了多篇已发表的工作,包括多个(低等和高等)真核生物和原核生物的基因组代谢(重新)注释和模型重建。Merlin 版本 4.0 是唯一能够执行基于模板和从头草案重建的工具,与最先进的工具相比,它在研究充分和研究较少的生物中都具有竞争力。

https://cdn.ncbi.nlm.nih.gov/pmc/blobs/4b17/9226533/c55dc7f6add9/gkac459fig1.jpg

文献AI研究员

20分钟写一篇综述,助力文献阅读效率提升50倍。

立即体验

用中文搜PubMed

大模型驱动的PubMed中文搜索引擎

马上搜索

文档翻译

学术文献翻译模型,支持多种主流文档格式。

立即体验