Suppr超能文献

英国生物库队列研究中握力与痴呆风险、认知和神经影像学结果的相关性。

Associations Between Handgrip Strength and Dementia Risk, Cognition, and Neuroimaging Outcomes in the UK Biobank Cohort Study.

机构信息

Department of Epidemiology and Biostatistics, University of California, San Francisco.

Department of Psychiatry and Behavioral Sciences, University of California, San Francisco.

出版信息

JAMA Netw Open. 2022 Jun 1;5(6):e2218314. doi: 10.1001/jamanetworkopen.2022.18314.

Abstract

IMPORTANCE

The associations between muscle strength and cognitive outcomes have sparked interest in interventions that increase muscle strength for prevention of dementia, but the associations between muscle strength and cognitive aging are unclear, particularly among middle-aged adults.

OBJECTIVE

To evaluate the association between handgrip strength (HGS) and dementia, reduced cognition, and poorer neuroimaging outcomes in a UK population of middle-aged adults.

DESIGN, SETTING, AND PARTICIPANTS: This cohort study evaluated UK Biobank participants aged 39 to 73 years enrolled from 2006 to 2010 with measured HGS and prospectively followed up for dementia diagnosis. Data were analyzed from October 2021 to April 2022.

EXPOSURES

HGS assessed in both hands via dynamometer.

MAIN OUTCOMES AND MEASURES

Outcomes included cognitive test scores (fluid intelligence and prospective memory), brain magnetic resonance imaging measures (total brain volume, white matter hyperintensity, and hippocampal volume), and incident dementia (all-cause, vascular, and Alzheimer disease [AD] from primary care, hospital, or death records) over a median (IQR) of 11.7 (11.0-12.4) years of follow-up. Mixed-effects linear and logistic regressions and Cox proportional-hazard models were used to estimate associations, stratified by gender and adjusted for covariates. Estimates are presented per 5-kg decrement in HGS. To evaluate reverse causation, we assessed whether a polygenic risk score for AD is associated with HGS.

RESULTS

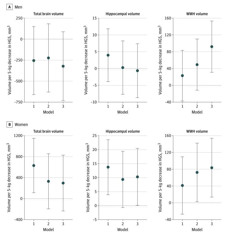
A subsample of 190 406 adult participants in the UK Biobank (mean [SD] age, 56.5 [8.1] years; 102 735 women [54%]) were evaluated. A 5-kg decrement in HGS was associated with lower fluid intelligence scores in men (β, -0.007; 95% CI, -0.010 to -0.003) and women (β, -0.04; 95% CI, -0.05 to -0.04. A 5-kg decrement in HGS was associated with worse odds of correctly responding to a prospective memory task for men (odds ratio, 0.91; 95% CI, 0.90 to 0.92) and women (odds ratio, 0.88; 95% CI, 0.87 to 0.90). A 5-kg decrement in HGS was associated with greater white matter hyperintensity volume in men (β, 92.22; 95% CI, 31.09 to 153.35) and women (β, 83.56; 95% CI, 13.54 to 153.58). A 5-kg decrement in HGS was associated with incident dementia for men (hazard ratio, 1.20; 95% CI, 1.12 to 1.28) and women (hazard ratio, 1.12; 95% CI, 1.00 to 1.26). The AD genetic risk score was not significantly associated with HGS.

CONCLUSIONS AND RELEVANCE

These findings suggest that HGS is associated with measures of neurocognitive brain health among men and women and they add to a growing body of research indicating that interventions designed to increase muscle strength, particularly among middle-aged adults, may hold promise for the maintenance of neurocognitive brain health.

摘要

重要性

肌肉力量与认知结果之间的关联引发了人们对增加肌肉力量以预防痴呆症的干预措施的兴趣,但肌肉力量与认知衰老之间的关联尚不清楚,特别是在中年人群中。

目的

评估英国中年人群中握力(HGS)与痴呆、认知能力下降和神经影像学结果较差之间的关系。

设计、地点和参与者:这项队列研究评估了英国生物库的参与者,年龄在 39 岁至 73 岁之间,于 2006 年至 2010 年入组,进行了 HGS 测量,并前瞻性随访以诊断痴呆。数据于 2021 年 10 月至 2022 年 4 月进行分析。

暴露因素

使用测力计评估双手的 HGS。

主要结果和测量指标

结果包括认知测试评分(流体智力和前瞻性记忆)、脑磁共振成像测量(总脑体积、白质高信号和海马体积)以及从初级保健、医院或死亡记录中记录的全因、血管性和阿尔茨海默病(AD)的新发痴呆(中位 [IQR]随访时间为 11.7 [11.0-12.4] 年)。使用混合效应线性和逻辑回归以及 Cox 比例风险模型来估计关联,按性别分层,并根据协变量进行调整。估计值按 HGS 降低 5 公斤呈现。为了评估反向因果关系,我们评估了 AD 的多基因风险评分是否与 HGS 相关。

结果

在英国生物库的亚组中,有 190406 名成年参与者(平均 [SD]年龄为 56.5 [8.1] 岁;102735 名女性 [54%])接受了评估。HGS 降低 5 公斤与男性(β,-0.007;95%CI,-0.010 至-0.003)和女性(β,-0.04;95%CI,-0.05 至-0.04)的流体智力评分降低相关。HGS 降低 5 公斤与男性(比值比,0.91;95%CI,0.90 至 0.92)和女性(比值比,0.88;95%CI,0.87 至 0.90)正确响应前瞻性记忆任务的可能性降低相关。HGS 降低 5 公斤与男性(β,92.22;95%CI,31.09 至 153.35)和女性(β,83.56;95%CI,13.54 至 153.58)的白质高信号体积增加相关。HGS 降低 5 公斤与男性(风险比,1.20;95%CI,1.12 至 1.28)和女性(风险比,1.12;95%CI,1.00 至 1.26)的痴呆事件相关。AD 遗传风险评分与 HGS 无显著相关性。

结论和相关性

这些发现表明,HGS 与男性和女性的神经认知大脑健康测量相关,它们增加了越来越多的研究表明,旨在增加肌肉力量的干预措施,特别是在中年人群中,可能对维持神经认知大脑健康具有前景。

https://cdn.ncbi.nlm.nih.gov/pmc/blobs/df9e/9227006/544623daea02/jamanetwopen-e2218314-g001.jpg

文献AI研究员

20分钟写一篇综述,助力文献阅读效率提升50倍。

立即体验

用中文搜PubMed

大模型驱动的PubMed中文搜索引擎

马上搜索

文档翻译

学术文献翻译模型,支持多种主流文档格式。

立即体验